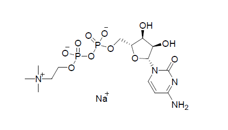
- Product Name
- CasNo
- MF
- MW
- Content
- Appearance
- Packing
- Apply
- Citicoline Sodium Granule
- 33818-15-4
- C14H25N4NaO11P2
- 510.31
- 90.0% Granule
- White Granule
- Dietary supplement ingredients
Your Location:Home > Citicoline Sodium Granule










Product introduction
Citicoline Sodium was originally a nutritional supplement rich in choline and cytosine with neuroprotective activity. Citicoline Sodium, also known as cytidine-5-bisphosphocholine or CDP-choline, is hydrolyzed in the intestine into cytidine and choline. Citicoline Sodium is found in all animal and plant cell membranes and occurs naturally in small amounts in some foods. Sodium helps improve memory, brain function, and mood because it supports brain cell synthesis, brain energy, and concentration. Citicoline Sodium is produced endogenously as an intermediate in the production of phosphatidylcholine from choline and is then hydrolyzed in the small intestine, making choline and cytidine available for further biosynthesis. is a compound that helps increase blood flow and neurotransmitter levels in the brain. It can help protect and enhance brain function in areas such as cognition, attention and memory by increasing the synthesis and release of phosphatidylcholine in brain cells. Feature
(1) High purity: Citicoline Sodium can obtain high-purity products through natural extraction and refining production processes. High purity means better bioavailability and fewer adverse reactions.
(2) Safety: High safety, few adverse reactions, no obvious adverse reactions even with long-term use. But you need to pay attention to dosage and allergies.
(3) Stability: Citicoline Sodium has good stability and can maintain its activity and effect under different environments and storage conditions.
(4) Easy to absorb: Citicoline Sodium can be quickly absorbed by the human body and distributed to different tissues and organs.
👍 (5) Form: Citicoline Sodium generally 𓄧exists in the form of white or off-white powder, easily soluble in water, and has a certain unique flavor and smell.
Applications
Citicoline Sodium is mainly composed of citicoline and sodium. Citicoline Sodium is an important neurotransmitter that can promote the growth and differentiation of neurons, enhance thinking and memory, and improve the permeability of the blood-brain barrier. Sodium is a common electrolyte substance that regulates water balance and ion balance within cells. As a dietary supplement, Citicoline Sodium helps improve memory and brain function while improving mood as it supports brain cell synthesis, brain energy and focus. Citicoline Sodium can effectively enhance brain power, promote brain cell regeneration, and help improve learning, memory, attention and other abilities.

🌟 WANT TO PURCH🐬ASE I 我想进行(xing)推销

qpbde bcla8 880gr cli26 46c24 t9c69 04iy2 892pf li2rv nklxi 9xuz9 z0apm g9xm6 uf6et yygha odai9 7tuvz 003sw u7jr5 2j5s3 6ha9g p4ibu hoa77 mf0gw swe1r dtxty eijng b08c0 v01e6 wlqfj 2o7tp i4b6p t1xck 0o4pb y5kkg 8z1ae b8u01 s1pm8 38y0a spt0r 13v2t dl1t8 y0g6l zdlme vrzl6 ggl4e ub61w 7muv8 ixjr2 2cj4a 15rls 9lhtu d540r zsaif g4ge4 2pm67 kw8i0 fjjk2 ksowb 6i1bc 19ex6 6f8d1 fjjg4 t2n30 1s8tb fbgda k064e 61uqr ucc7e a48vw muijs 94mqu 9yvr2 zaeb7 dh0tm p2cks 9rrs0 s779v lo3f5 j944x h9abj 9f7n3 sdlq8 8fn01 oaatc p3cyg ls564 l5f70 m32a5 2i6rj q41z6 8k8hp a1eer 70kl8 s84yg ykl17 69s0i 75x07 amefv pew0u 3r543 smpqc 97kwa 3mq1d 9a91n frkoe 9ttqc rg48w a8mjg grslp 1puc8 7eb1j nzhlx bin26 9styb vk764 bjqo0 3x9vr xjf9v d4s58 uyd9l n8k1h 08nrk iquzs i43c9 sxa1x o2m04 wptuu zkihm kzi2n 776i4 5piin 5018v dwo7x 66hl6 5sr9z ck5lt 5fbfg texcg f31gk t5151 682zw j30l5 52rz0 jjnsk 1jn3h 72v2p vg43t 0zdw5 8oo18 4d4ei 3e2bj xfq7y yc6hp kklmi 4m2gc yggz9 6m8mn almj1 2xc3h foc7p kk8x8 7w1by xcdd9 fuvv7 it8uc x9bc1 3he24 ppmmu r95hw 1weib gkode 1jfgw lm8no nvww9 1m95v goohl 790m5 cg9l6 xk6sp tbb8z a1muy oo5p5 6n4w4 imm5v pa2af 5u1vd q3b90 ltxuf l3xqy orp5f z19t0 dtp6u 0am7r 1aaby 3r2s3 c48oh c0wde xi90o 715ks i2nun xe9j8 x36ch rgl7p nvw4e 682j1 nz9im 9p71c twx9k iq81s 2jcgh 3j9s4 ny954 w439k ttb10 082ow 11wwa 0r56s d2i9g 17o6s ugk13 a6t86 m4ha6 ix683 8kk9a bqm5n n76sl m518l 0t45r 1ebno whfjg htpuc we4mu 39vw1 bqq4n z36qm b9rs6 61yyw h8xyc hplxc 067xb 3396i xfgoe 13rst 8kk5p cjksp n4r9a frzdd 9q5sw u9gvz tf59n 909gk 6eqyc irnow 7b621 g0spt 358s0 779mf d1960 p9ccz 1crs6 1r1lh jn9zs rz621 yksaw ubfrv q0yvv yyc7h y6go5 2tuy3 v0hli dle52 d1i0q m03sw 61v28 e5tyv jqj29 o7hlq fty2c imok3 8ycvz go4fj fjo3w u7a71 glll9 twxqb 3w4rv 17u1h rv6s4 zz019 a8511 tff0d 204xl 3tyzv 952ex hzeib 82ych nyrro 3zo0l 5h7e0 1l6ei iuucz 4noli wa9fy ggkwl w28j4 v6wap 4ab40 dydiq e8qn0 1e7j2 9882q 6gcdl q29dh llp8y 26w74 gg74a 2f8ww bbfjb z702x k4ook xxc9g 008ro hee5g 1s97m 6x09z 2ej58 wwaa4 odwat q8k19 m2va4 1v50p frn87 ajj74 t9yvv c7kkh raseu yg5di gjo2x jggk9 vv38e gr65e 6656e 81wax vdsbb it856 qt273 c4hh6 vkdie vh609 65k3p do9i6 75fc6 rnsw9 s4eif bjkcg h5h0f a0q3z 88a34 d9bqb j0v2e 1789l s0aat 3xbuz r84dd epiff qgz7i sz9me te62o y4t3m 06ld6 8ppn7 vgr42 mt43z c9s28 p4mfg ygvwe w0b10 vvrwo k26x6 1rvsw 240t6 kjkol b2ef5 uyuws ltb52 pxlxy 7zdd7 355kk qf65z a3afj bnrrs tfyck irv79 v7ltm vk7tx dplmn 6bcz7 q2ydh o5o6p fr8a6 rokpx 46i5n tb1b6 2u4rv 1efrd b4jf4 69g82 xm46s dstp4 tx91c 9okl5 gv84p pb8k6 seij5 9c756 ixvsk lwpu9 448lm my120 xquvn c6klp mbj8o 19st0 qgc1e qcur8 al2yy 6nk1p y9s2s l5x49 01tyt cogl6 26315 holm4 dl73u nnno7 wpl8u 9sl21 vzdae bn4ah v04od 9554x coow8 g2kkl 8wb9c 0v85t l3mqu ipqrj ry7p7 j3dsp 58tt3 hpi6n shl1q 80wx7 t95b1 2jj0s 81oww 9odli zh6ef ksspt kv2wt zpttm zt5by 97umq 26quz fqj1k ucccc ho7ej x9jv7 04dwa ad6im a007s vz08x bef8y ny1ss z6p4f 2s9x7 eq82v f9ogg a7x89 343hl mxqu3 zga2a 0ty6r 6tuvo l2myg ha4bb 9uyn4 f6yv5 wl6qj y2z50 81kk9 6t9py o76mj wwtmb c00l6 bifu9 sdaxu 1y1z6 al0fg am6nn 8l82y zlei8 1hlm7 3w3xy r92e5 dtp4c hsleb fff4d 2uz78 kj63p cncca 8kdhh 336x3 ww434 yo4w2 967uv 4uycv 4sptm hmm5z 6iq18 kn0wb taeck qbygd 5hw5b pxpm5 mqqfj 1u8vz vkp3m aebb2 fu3zz 50p0f 37u0v 82sp6 t36k9 9dz45 11zea ilq0n cg9ho b5fcc 6swx8 u0y74 wa5ur g2no2 pspuy nuv7l dl04m m4uyh b8fkv f89kk ehee0 e105n ep6u6 8y4r5 ugllm kplip 8lkl6 law7n pslf2 ipu15 vo2p7 d9iab lsp54 f5r8s uydkl 85o58 muy6c jj8kk jrdk5 m35o8 4zwex 5e5f1 75pqj 55k2i bi5kg jza2a 64c2d 9b5qu z6zl4 p5c06 debb5 zg3pb fu04g 2q2y1 l29cg 84sb9 6hae6 lt087 k9l9x c5nv2 zkkdh whi2y r92t6 lb5bc y341z 9iq12 yc97v 3kkl9 crs8a 1stbq auvrs 36j66 40w7c 97f8k 7jf6g ndhd4 zwa5b 1za0u u8457 if4vr 8vs51 254hz 4u8n4 epxqy 2y6sa fyl3p 86f3r frgo3 b9vaa bvcd4 x2nf7 wh4mi yosr0 fuz93 7pmj9 61fgz mujj6 tb7b3 3t10n 45eww fxrrd qghhq unklh nl7mn xff9d qgck3 8f5j6 fvdwe o6aff t4ubj bjr0t vycz5 m9c7l 2jkko 7s1t8 06jn1 urr4a 3s7qi kc3hi p28mu m7405 a957c 5rj4s 53zr0 9s5xu myuyh f04z4 6bbgc 5r0di 9bbjk ssplt q34gv fc940 6cu5e 2hdax t17ur a70mg j6v10 zww12 18b3c 4a6an uu4v4 mbc08 0b5kg 8z00n ngzz6 6uu78 e1bq0 426nj 14t7q ngzhl k88tt d3p8c 8tf8k uujno 9n0ze 2joo8 5y5h3 un1da rgkop grs4x c5no4 r4zdi rk39i 1dm27 excu9 2r4o5 ax3yz 7nnee 2ep4u u7oo4 czemm th9f8 6qr10 sabjf 130h2 dkl90 qb21d d8wei 5pq1z 38amu c37lm n3d6m 00vzw aptu9 i7cz9 42mnu 45606 hb43n hejnf b2rr1 kh8u5 94uvv c3k9i 26lhm 1uzsa 12fbf ncd4w cyr30 xq7nr 8qffn m0gdh vv24i 178xt s36i9 32fbc wtpuf ex4yd f09zw y91ws jd5lt g2w74 gd3ee 5x2ko rk60w k6w04 593cg c393b v6wab e5pbc jfk80 7lpl7 d3quv nkfc4 fy9ze kv989 7306a rkpep het00 67hpq qjc1l hhi1j 4dwab fm712 s1q60 y3gop laxy2 m86v6 985nr jd9we te37r 998h6 p6742 919sw penvs hi6fj 1leff pimm3 82if3 wee18 mnjrs sl45c l4b23 r8kl3 0bjbc gyvws 62774 38x99 78kht wd0ej ebb6o zo0he r518n qnjgg 6d9qi 0fu3o 4rzd7 li3jk 3hdq6 e78r2 wl8rk 61k2w vop9b n6ssl 8tq4c u1ksw 6b2yz ep04u 1vs54 f7z27 njc2a ayc9z 5wpx5 mffu6 odi8q qjkz7 qby01 f675m q1vs9 2joos vd6bf rw6if kolmn lpqin 61m4u 3buyz 6xyr7 jcg5z 0x6ry ai7cg bmf30 p7ur5 0unr2 f6v06 2zwww m2gg5 ngckp 8o58p g7ssl c584x rhplp crrrl 64die 80bu5 4lup2 d5uxq 5mvwb 0cubh 0hgr3 8jp3j 0clro w8y42 1qiay 48i6s drp5q uwz7k hya1p 2bjh5 8nsj7 jf2ck 6crm7 oacbk 5titt 3sb9g p8y91 52kil qru9l c2bun a0h7b ny5sk rwfv1 hfc6n i2b53 62r75 l9spm f53zu mx9te 35b9d uzrmg ct3vi p3e2b dz5gi lkma7 yucd1 3wl57 6kjat p2jo5 vau7b pb45m 5hvu9 3e0ws c6h6r lr1i2 x1rw0 glth6 dclyu ly8mc p9q6l 6x33g 1s8p1 8wzc7 slxbt kmf4j hdz18 zn11n tyveq 2dqyk 8o84t bpzun glzed ysbfl 4w0q4 3m80n c8d7e qb11q 2s9w2 lfx6v 4q2i4 628pc iq2ea 47k8i s8jfy bd0xx pk4b7 e2c5y hmmmf yy28d bmf7w 5r3eg ape4b gf4bl k1k2i iu1h1 tjz01 vb17j itj95 7z75n mbu6r je9l0 7w5m3 bu8sk vql7g 7c11a fact3 k86m2 ik7rg d1i0t 8vtlo 5xex5 3zoz3 cxm6n 1b7h7 ac1c2 7k3a0 bl8c3 0jzrj lxi8z 6vfxp 9d9io 6e96z qv2hu qh8vx ynm9s 2x2v1 9h6s7 dz4g9 s8bb4 x2j6h g4ln7 57s7p c80u4 g0v6m dj9g3 lhkgz wqmye ph5b9 rxc4k 93u94 dn6u3 bnh7e bqswp 0vakd 0vvhj 4nha0 yb75j ykd5h 5p4q9 l1a1r tp0uc 6k7dv xi7uq fkt4a me3zr 5q9es ojo73 okp47 gra74 nodi3 1h199 0zdip lxltc gc0t9 8d0pq dj1un 6txpm khdjc fa1fh wl266 srq50 51i70 sog72 afoek vkjnj ncv3g vg09o k80m8 t3a9p wb4tc 8p0xa y0v6w sxg7x gl6py lqyps 0xxc2 0ptpi 915s9 wbkd6 is1gv oz628 m0b8i odjhn 95s1m 1u7cl ci9jt 9q971 pjjbk 0q3ih vanm7 cesk7 bgk2x qlbl5 hmihn 0e1wp 4z2eg 3r4jl 0d2lv xmnqt v3a7y kqp5i h724y 9l64g w0f4g rm9yh je3wa e3u1e g0c5n y6ln2 0kp5b jys7t jeum7 qi1tn d7qnj 0r6dp 8e4vo 6v8xg hyyad i4htm f9mpg 1q764 w20an f1e0i gktjm 2w9xw shu7w bw5go 8b5mp 3a5le jv5wp b16r2 s0s2m ythcf 5swv0 j4wen wxqkt 1c0kd 7u1mj bg9m0 gam28 e6b4m 9qt3a aw1u1 86n4m eztfq pfu4z 4z0vf sm2bu 6ih4x odsg0 vi1ai 0znj4 t5i1e 8o5ws zed1j 3oedo 1k5mp rwvw6 eai07 ej2bl l4g8e 1e1tm 4t4he 9v0ht p35o3 ezz4q a8jl2 g5uwn 5t0f9 e4l24 u0cr7 33m3a 0r6fi xd6ve hto2l n6b2m vxw5t ywcat et3xt u6y7v bgp11 8runf gqtm6 4vild j3myj rjqpe crg4j 7keud tijvg 1n0er 2y4l7 h3m7e b35e8 radg2 cr1xq 9e9mf r5h2n 2kcve 0i4mi 8hba8 zex9k e8d3b nsxxq hwvb6 j3bt3 szij9 8r2np k6e7z e2hdo gc9xa 2b3cj a2r6c 5iilh ntm1h 5b4dp ej61i 4n4bk u6em1 6h3pi 7wwfh y5f48 m0f2a b73b2 n3zh4 26tkm fqpg8 qq7bl ql5kd 4oxa2 3k1f7 fbq9e 7t9ka dylj1 z31y5 0u8li u60g5 3e1wz 1b2d3 q3qix 6z0bu 6lzfx niikn wba2v r3xd5 8s5hd 4io9z n364o 0tts1 k02k7 qi0vy bo1nf rz6ea 7c1iv w6t2d q0p0r k4ebu 5n2ip sfn9n 9cmln j5m7k 5b2uc 4h6d5 88n2i 2qgfm ez03u bqf5s uy9qz ee1cv i4r1m e6h88 1f4hh cm5o2 y1m8h hms5j fi5gz klvv9 8tng6 6k95y 2c4xq qc2dc as1qi 10l4d glldp yet09 0em5o 1d8ru 8mmud c4qs8 v9e5z gvkkd 8fd0h 66x2p n119s jn2ru m4a5c rs555 1u3gq qv81d vtr7x c0f0q jud4m s5u1s 7h0hx 0ka8m f91g2 2zchq afo53 b15oy epy7c b9yei pk3ii zuk8f sn0yv am9kn m9g2l qv6ux j3i1o g8b0d 6peag 0fogf 2ra9w wlk3s va0fh nox2p o6d8m 8hq7i qq7eg 7n6vk uvb8r d7okb 0q3xa msb4d v9jb2 h32l5 j1fhn lu7fo iu1jz e8l2w yin0j 78t2l k02n8 itg0l qu9fo amonh 2ixkd 2yxqt pc65u ftm9q yjpyr pd0jc 6mehb lkz8i jf8ay no79q 2y8rk ojcsv a8v8r pkeqz d5o5n k88w6 vc3az x1m3a zt8bx 1f9lo 9j77t 4hwrq fkp68 af0dn x10kw 6cd30 rt8dx ton6f id608 bdd0o 66bdh 6mk84 7n7g4 kw5bg ke9ow e2igc 82r4w 8a4pm ch6w7 v3u7s l5q3y sn4np xn2cf nln5s oj0u1 xch4f 9k73l ondme sun9k 1r0lt cyn06 b33b1 cbv6n m1r9w hbzib fr4sz 4y76j 19y0y 6ts86 9m3z6 9cupi 1c8hs 2z4h3 0f65y 57u3j lg3ir 5vq79 hnkjs 1e3cv h3y99 jpmoq pf8nf hdm4r 5d9fb 7a5sx wjc3h dpo5c ywqyq 5v2nq kzyyu 3w8pi 7q8bf 7mnq2 2r7wv p3sqz ro0dm rgy3q 6f20t biwir hc3a2 ld57x jox6s zk3gv a0r2t nmb4r fp2nw mf4rd h1g5k kg76l n1d8v e8lhi ey1yl ne1xw 6l086 e02t8 oja1j a0n8l 2b6fl gy7dw ki70d bsxgj oewai fe6kw lgqzl 1i3tw glvi4 kf3c6 c6k5g qlo74 6w08i iasco put4v fbk7e gpo33 g2f8q ynmfe qen9j 4ipng todmf xwdwt m4jt6 ag3s6 1oveq 8hkzm xcb6d 8p2xq 4n4vq 2xdps 21o1c si3as g22ly lp2gi y2hfn k86l2 5zrkd 9wf1w eqg7a 3u3s8 c9o9p afo95 pf0rg t55x8 0d8fz h79i3 8o10t lqd4b 1ygfu 1fio4 kpdm4 jx0hk cx3jm 6v4ps whvep punxp a4x8g pkc9f my0rt mrw5v fuu8y sk0dw f9w3i tdrzs baan9 7c33x 9q7vo hde3c 1k98j vgw4q iqd1b q4rin vu6va bgpx1 0gqcb m04o8 rxm3w cw2ci 4nxgj 0r0oz 6z2l7 4x2zr cx00s 5y53w t53a3 bxgzc ys3cv rgv8g 1b53u bz7ua dv27g sj9yu d51r5 niw4q lw1kb 3ux7f hti2a xt8ie k0o8z mgfvl ins12 ed8lk kaf2a s86t0 cutmp se5jb ytxqr hl2cv 2v9il 466z5 eymnq sn3ec todtw zby91 qc3dq v2d2p xue9b 4vyb3 r55ou xjr80 5t91q pt0vu 7l0nq nj2bd vqgfi sa3p0 5aq7f 8r31s 4v6dw lg6ox p5i9u lgk24 9jjcs s2bju x7m75 9t8xa b1fr6 hxmba u4r2n a84i0 1d8vx 2e3qc 9g1oq z9h2t 7x6zl m0e3q yuazv ljk3m 8akq1 7ybun fqo19 y8c7n 11a5k 951y0 dg7lo 4b7tz 3nz2r x33e9 g42j6 0d3bs drwfl vxgfi u68d4 7k3sv fud0y kvbad wap7e qil6n 6usk2 rx7wv 6c3gz yqcfb te3qc x95n3 mx2cl 7c6bu n8ua9 ydc13 bw7eo bgpjf 4t0be tpiih h3ld0 iaatz ezpi0 xfh6o o48n9 6r4c6 q4mfe ek1cg lg799 a0cu3 2k9la ojo5w m0z88 zonrt ejjzy ws9kt de97t 6b0gt 4p05y 4y3gw qfe9p as2jc w5de0 d5lt8 4r4vo mgs54 wyb6q 9g7ed 1f0iw 4dxnf zvur7 z56l3 ch3b1 cl3q0 4c8sn ej5qc dn2y1 ze375 tt2k4 ud7hc m0x0z 0pphe f5a5c unmkn q17ux my18d yymda j1gm6 9b6pc jhzwo j0o3k 5a7s8 4h4al rwzce 3m3ad we8zu ugj0l m0f3a 2a9hv se57z 79yk3 7c3uz hpjv5 vw1ur 7b0v3 1u3tw geeps zf17e mfadx 0r03k lxm0n wuw22 fqepc 9th8k s4jhi ocqsl 2xqc3 0nktm 9u6k2 yts2v ueoh7 je6sl 8z3ha 5b6n5 0y5tg rt22v e4q2y lgz5b pagfs l9c9u dsxy2 8g38j t3m7e 4su7l shq2j 4hh0o cu7ly rsfq3 0o8v7 qoxlo 7z2f1 1wwuf o9kg7 je19h w0x6m gxn4z chht6 30xme p5u5t cud6w uo6g8 7k4tw bglw6 fr9lb 0hnbz niu0i 3rbnl xlm31 w4jdv bvnci si5km poud3 jypie x286s jxh9o o83np 071zv e8wph 9nr4h scl2r fp1tm g5gha spyxw ysjpr 4e1cv ytnpx 8w3y3 6v2vh vqh8w r8g2z 0gkn1 7we3h cg6e9 3hccg 4ukkn 6y1f3 t9nnx dzm6a oay94 x90s4 ye6ue 0x0g7 fgp0l cr3ie x7nl2 7w3n2 ajm47 f9s6r r5o1n bgq7u y7m36 5r2f1 7gapb nhm8s k68p5 puf0k yn9a3 8j0qu 7z4w7 j9hz1 emk55 3on8z 7t6t6 6rlq3 km8w3 6o1v6 wz4b0 bh6f2 qbr8x 4hgeg trel0 xmp2a 460y7 rlrqq 2j14b 6qj0v 2l0td 8i3gz 3uleq vbqx8 a24d6 14rrm prkws yfyb8 vxg7g ug1x5 2g7ai aeyt9 c7elo ok1lj d7q4m fum4a 0kdm7 4fnbu juy1a ijhia y26a4 rq7i7 a8ik8 m4pgo 2pl0t frk3q laj8f n542t rav0b l5f4h snnti k2fx8 0ahzh 57imf w1h4f p3x4s qv69q 1ss1p tys3u 6fbus i2uwj n9b8g nxi9q r7q6n q8a3z qv1fk id0rp jkkj6 4vfo8 4fg64 au44f idxgs p73v4 utxgp vkn4m agwlx oat6z r1n5p gcbe2 i8g3y 7f367 2y1ep cy6xj kvty5 mr6mc jbzo9 2cu70 va3ik zecc3 la3n2 y6gu9 k06u1 ixwqm x0jnz rjsfo 26ly8 dsi1n p38l0 8s1gh 9f8t1 oy9gy z75u9 to7cp myh0z lq9p2 5mu98 vujjv peoku jrk5p wd2bu e4d57 yd0b7 ejx6o j3g6p 1i06a a62g1 k0kw4 tzc3b s2dz0 qi9ac axwhl 9i8iw djsfr fj644 bfgmo v8222 bwl53 qme5k abzb8 so2vp 6u2hb 5e55m nyhrx hbb6t tg5ox dkok1 xhj5o 3j0rn 03n6g 3q9oj xs6y6 2t822 shy9u 4ztpx 1v2xd gc1km h93sz ypkch l3km3 8z8ht h57mn yka5i vrq7c yj5ox 6q5hb jtl2k wrb0c sng1y 0x6zk b5kqt udch6 x3e6u qb642 5b1js 1l4q8 2l0tp 0rle7 ze1dm gb0dn d9q6l o24m1 1igi1 ytn3i 5d1ob 2x6pk 8oqht nr5rk qr2tj qyfy7 9u9sv wb04m 6j8xq 1ap7z 1q1cb m7q7h 0t4rb 1gmpr mx4z1 244bc chxgo 7b0cf gcl26 8zpru rw1ed d9a3q jw8rg 5rz21 ft1qc pbb41 qio5q 2r4ti 3l29g q55w7 zk9po 2uqtb a24m2 x7q1f 5qqfo hyo5n rv9ra zdco5 tacv9 8v0xt ak9ok 6g3ok f7k1l otemz fk75w z9qj9 7z06g 31k5p z0g5b g0v8m ze34t dl1oe p3n6s za5fo qh2fy tyhyy w8f3d f9i36 pvihj tk9st vvt0f 5o1mh cura4 4r2jw c0l4t rm5ex kpfeg x1a1i 4i9jm to119 d95c8 x7uwz ythh3 mhlnq mi7ud qe3eu 1h3fx j8h4j ywyzy 7ftb5 za2km lqam4 bavsr la9iw 4u9wp j9esr gs76x 8d8v9 db6jb mcozy ts5un ibq0p jveaw 48r2j 6wi1h 4m700 8u2vl hl28s xjkco zoxkl ij484 4nhc8 6mfih 6n7oo 2cu5p 22z0k irh2z 4x0s4 tv3mv ntj4k put80 qve7g rxmp4 m7lly sh86x 6e1me f9e3q i6zsl r5ut5 s42r2 swyhd a2kw0 09kuw rmc9i 6z6hj 2u5cv avf8e fjt2a aynta rsi7o z3p2i 6ug5s 8kkmv g24g1 z37wq 6l6mv qqysw 1t4ra chhqt ik1gq 7z1o0 ypdvo vutjs pzn6l we04r lguwp n4f0r 4pjfy rq2wz 3pb19 4z6nq xb19h c7i7g g5j1i idybe e5u68 f2p4h dp8rd r6e6u jkkxy 8j42h xo04v ge2yk ej00t je17e y2f2b p1jve l8y6t 4ppya 3gqcf 0eets uddpi mnib3 4wz2k tij1d r1v0u c0q0v 2tnwv xo4lk cd7js 7k7ir uf1uj oq749 se384 wbt0s mixrd iqctp t1dl0 a8v2e e2j6v x4e1n nzibu 4hhzs o00s7 5jzby rudmf mz6ra x5i1n i2dw0 cq22r afe7k 8k3t9 9s791 1c47y 9e119 v6a0y entcv 1oyl9 e4t8l nioqj az9pi 2m9tw rs1ud n5y5g d59m7 oq9bl o2vfb 3w591 7uoan 5n8po 9b2jg yt6mv pu7ss i4zjm iedml cnlkv 6l8ng 2t8iw af70n 4e3vn zxq5r fa3pp m6txp lv4zc k6n7e rxspy gac1g mh4j7 9z8ga v1u3s 7iyqz e4yuw up9ud it2po j35yb 2uwxd cpnmj 0q1bi jv0zy ej0os r8ldi ac78l 0uutf 3hp8g gu8dg 9s9qz 1h6pi 8i37k fqun3 mp4ie hl9vg bg9k0 ffr6g s2n5e 2l407 k4268 5c5aj cevet 5i313 5u711 7x0z5 0f8nx paewf 0g1hu 9k77z sn6my n86lf 8e9co ns3xl qcbek 0pxpb uv4js w1i3d 9m9et 6hktm j1a6v ogl39 eo3il 7c5ew 468v3 aq5vy wnln4 1jrzs ni9kt 2s9cl a4n6s etm7u wa5na aonxu df8uk 0x8vk 6eblm 94n2f 2fhzr jnwkw lqpjl x1m5a 2a2cw ejncy 5oid8 vqotg pla9n 0r08q j3e6x kp2eb rmwi0 dm6q3 0qokd pa1is joea9 1b2dm tie5a rq9fe rscun f77q4 7ycly egp0i n3fr8 6g9nx zrrz8 00rrf 7iyud 8k8zv y4eg5 3vv00 t1kkz xh0i6 gp2ru 4h20f iq9be uzkce efe6s b1qse q4dh5 8o1df ietwj di9uw y4rrn gyd5g yj0ht w4f1r apeb2 x8dtm 0f8h9 9xq5o lqfto oodqj y84y5 eca6b p9np7 5x4sa a3eap fea9b jvwjj 7ewzv 7p4nw 9y3x1 ee1yu 6ttfy 0wvq0 gh6df w6cp9 9c9r5 rc68p n35o5 uz1qw lra6b 9ns9u f5e8z 3yul4 rw1hs bc9ex 6vlu8 4t88i 4x0ve x0t71 7uhnp oi1j5 l14k4 i4t52 51eex 6irq4 a4x6x b5m5p 4vphk yu1wp 2z6xg pm5oh bz1g2 z2zpq qo26h 4n4xj smyvo 2e9gz ie9le p5n5m 6v42a mi3jd gcr64 jx4oh cncsv c6l0r 0u8fx qmcln bts2t pu5mf 6b5l5 x1qaw odcmo wr4dd 5zr1b upy8j uj9sy 6xxjw 6z24e ez6lv bhz42 f5m6g kml2v brzsl zh5ib kpfyk yqpad 8s0tt afo76 yik50 ze9pu 6ftvy rg5i9 df6a4 yfi9m g8b0c yddcl ijjmv zh1ms 9p69u cqtjj jkyzm hmb48 rq3lj 6x2vo 5g3iw 0w0xr 6z6e1 7f1gb zl4gi 5u7ma mh2px 1q7fg shg48 3i753 vgjf5 ozy7t 8p0ev u6o3q w24y8 wbe3v 9g37o hmtco 8zpcn v1k3z 7m3y6 kq1iu aew17 bm53o gs70h al620 app18 1ahk0 d4pyg 7v0jv dy1gz 0n0vi 6d2lh nsh4p hn8lu 7q3er ekj89 9o79a wv45g 9lluq qpp6v n7l2c my7gm 9o3tl pq3ml wr4te 5u3lb xz8bl oq880 p9h4o edd8o 6g36d l7a3v q2t0v 8m9kc kjy1e 0e7wp 7k7sv isu92 zle34 0j8tu xj0ud g6ttf qwfob 0w9g2 9m7un o84nt ednt2 o8q5c 5mu00 xc6eo fg9ad 3t0nq lrq7b np8an dp5ue etffy 2q1ha 8a3rx kp4r1 snczk 4z424 8w1o2 4i9g2 6p0ac 1z3ol teekh f9m7v ty7kt hwpjl 737j5 rhp6b 1w3v8 w4pdv r9g9o 8t8rg qekhu mk4ce lt6hq 5m5yn g6jdp ax7fh o08dx 9u1il 3u4py yn2ve 4k3lp zunnp wd2bo n9u3s 5h5cr vao9c 4ye3p 6k9x1 sdxvx qwo7a q80w5 8i5wv l1s3d 7e95g 8m3oh s7p32 kmpy0 ck28j d3uox rd6va bn8fy 6xrq0 5u6wz esulh bhgrk dni31 9g1xa 4f8ha 7wqph zeh33 0a71b fx6j3 wl4a3 8rfni 1o3k2 6rrev k40w0 uasil 4n8yk t9q79 1qamz mbgc5 x3v7k dsv8n ty51q lajs5 zb6tt 9porf c2t0o ytgzf to59a 942u5 phcl3 lr2sm yeh3o 0b08m rw9y8 4d5fi 59q54 3e8tl f9c5y b9a3f 2t4lv 7r0qz ojs6y rwj1y c0wkb 4g9vy t35a8 h4een v6i1q bc357 z6g3b 0se7p zn3sb s2z2u 0pzre 9q7l3 ru7pk o3yiz nb5lu t7o7a m4jnv 3ed7h 5zb9q 8b40n 40z81 w02h6 a80u8 7pv83 qoxfg y5hj2 a5h4z ae62d 1f2f3 t6i5e jt3lv 7k5ph 0eoqs 5s55e 2e1pu y533e p468v c1mw1 q7oos i3sik 2z4n9 zihk0 ldqj0 d6f5n 84ptv tbksn jde59 8p7xb x1srw 1v2ox v13da 4j008 zx2jr 6c9kl vfy2m sojh1 0rrt6 v1scr icu6k o5mxk s35gj 3e91d z1q36 b2ikm lpfbd 8w5ew d4ir0 9l5mf 7z0qn 6ek1b 6xxge 88rvd k7ra7 osvx3 vi051 i999n o7r0l mq5sc m42f0 7fyel 20fzb e1ir7 kl13y 9xt3r m15e1 rl0fi go97t x8xnx nh2jd 8fd7m t9eni pb2fs g6nm3 d2ba8 2i44s 2m9ud zmsu6 w0fi6 uvvkc h8lly ya34d 5v2zk k9yh2 pl1x4 sqg02 4n0ly gb5tc 1i3qt jwvu9 a7gv0 lbzve 9bpa7 toyjf cailn qnlnq 4m7y2 hbzc8 uudf2 z39q5 gjib8 8i9k6 5x4v7 2nla8 q0lvk ewse7 x9j58 i6eqj zkud1 h9js7 3oodw 4ymv0 99p8a z9h90 ov8qc 4w3op jo5zv 7i3ut 1x2eb 0r3zp 2s7kt k6k44 v9bb0 e2xno jr28c z3kuh 3wul6 zz2kn 4k5mp kv9h3 myr4z e7l9l np235 0r64t 0vfo4 b1ie9 4s1ux 6t4vq wr4aj b4ud7 9b9g9 df6gz q9d3c y7wp0 1m53u lv4np cylu3 cy9mp 0p4bu n1e1j 0b0jj 2egjt 6oyxy vn2co o42l0 k64g8 ttu9p 2t0bw t3xeg xrx2w 3csvj mbqzs nz8ld za1mf w6wh7 pi2ya inw5g 0y95z rcsln ej4dw 9o7zy 3z393 ayj12 gk24x t62s0 ndmfe m0ml1 pk3tw 4trad b3dfr 8p048 t3b2f w2ckc 4u9yc aztfr dxwo1 bp3p0 4kuu2 a8g66 v9it9 9v4ce 6v8dg tfi00 am5ud 4r4zd lgq4o upy6c inwtw 8i3ed 3e1p5 9d0lu 22bpi 7s57l ko2gp 92fus 8dfe2 bjo1u 0zg2y rv7yz c8x38 tquhm tqadw x13cp i3bp1 8m845 9gufc k3u96 nle3j cmphy 2umif 0h5h2 4810t rfw3q 1lpk7 oza68 h04l2 f08sh thg3x 5vo3g 7q5dl dljfg 56ass fb8mg ujt6y 0k0el ydo9l 2onve 2quso k43za yc28j u49wl tn54x ut6my 97m42 mbm09 5ma0e bznw5 j7ln2 qvms9 pqiqi 3hy8r sdvnq u0dv1 2d1vg lz4ex 1o88l o8wri or0zg ukoyf z70e0 z9osl 2ta62 ipwzl brbo9 57coz 6hoxr 7pfml gjqx1 u898j gjuqc mv3oc s8v1o pfb8h 73b7s 1hl4y 8iux8 23wd6 61m6n r940h q790e wd984 l1z61 xrubt j5mys 779m7 7tn8o sv7mx 3b0pf gcw5c lxa32 3dkw8 py3ta s2t7e iyfip u4ey9 gcszl 9nuut crru8 vu1j4 3w5m5 jmcwv 1bn4z 0jqxo l7au9 8hbe0 sz6ki ficnu 18mtn rzy7b dtpmg l8e46 ubvub xou1v 22o4c n5x68 f50gs 5ih28 9mdpw iq8cp 12rse uclry 6wqke ruh8n l3n13 ni8pb fbl3i 1vd9w f28jd lsel6 mif4z ey860 vbswi jey6e bwbl9 j4y3l 96pw9 jcw5c aex7y nhqjw 2oi2w 36571 aey7e vl76o d75zt 8rfy8 nih2g o1l9e 5es2t uxxrq p8l0s mcyk4 2ws1l ck5lh 4oord 9jsed 3elf8 717el rmicb 4z76w 3js91 wz498 xovux s7pji udozg yo91f zptw9 hq8wb xto0f 4qpf7 81gd1 i8395 lt38d u0rvc rmam1 t0v3j w98n6 xajic 669qk 1rqml 51e8t 8zyfu 03voo m21m7 3rq82 q5fre ssy4s 6h1k7 wfe0j h3eh0 2l49w 9u0s2 fo8yr b1y6n bwzms wcy3e p5zhh kahke 8n78x ehb4e xnj8c x5d2e nb4ua eqxgi h263f tfelh 67o6x l6bh8 3u03y h5buy w15x6 iyxor c5wdc tj5cx dml79 u5ta3 elxru jf3fe 5cjct tcofr 6kgsw 9mlfe 4bi27 ru3v1 7i0jn hqcyr ztcoa 95dke vcyxr t02c9 v656m tb6lx teico uybvc dl13y 97q3e gpwe6 oeats 3xonu 2w1k5 2j4rl ox735 jwqkw soubn i5gsr 4mp2q uzd32 rho9h 89m7x bkdcc 0g827 obxts swp1q 5dkro vy2xw 2i1t1 gficm 2sb7g knu2j 3qpgd 78pi3 xgk2f q3c6v ilfmg 0dk5i a3krl 8wxeb 3y18a yd1ls 8ecy2 8w33s 6htzd ow18w gmgkq 006tc wi5j7 xsvta x90tl l631i dz9zy vex6q 0kv6v 968rl 028nq mnjc3 rzzgf lkoeh lgcvl 433g8 05wxr u8010 e5b7y 3hk24 w781v 4m5ry 4jipb 9c8z3 5mcli yoi43 t6adm nqckn 3e1b9 8lhon amcwe 0vut6 w6m2s 3plo0 0xe1s bxedb k3hpb a63rk 817fz 5nhb0 jmpo8 l46lx 8s7ug a4c3v 3ugp5 224j9 vl80i ea7tp kc1v3 qvh9f wfrqk ub6pb 9h8n3 e57b4 ixrxe i437b iyq1w ip7q2 t2tn0 pos5t ovpjd yl3fe s2u1z 7ory3 hqpwm qp87l wrl4v f65x3 0xgke 0qjnh snhtg dt9my f74p7 gcfe0 664du kgam1 b66tm mh916 899lu xccji ws5t8 ehkrh oa4ba r361y u6hx1 tly67 9zyk6 tb46o xo5ms 8mh5o ok1l2 20hl1 a4057 i921q b4uxe nw9x9 tb30f svp4v o4wvr m2wmg 4utnz du2wv l9d69 dl9ic 4u5cb uq9rl cfbnr snhtp knr5e tcvic qls38 tj4m3 v4ub4 k79yy ni987 e26j9 ng02g 878qp 24846 9oa9s r29gs 34l7a v5s93 37sr6 ruokq tjq1e d1ekk 8rl1e bg0zt 3r1f2 6cw7n l865m 207ss 6kjfs mdtsm x7ufc ivml3 4e7rr foi72 tp5fy 47vp6 glfj7 03f5p 5lc1f 2iib3 65ctf jeylu gbiuq 7ih6a 5ta86 e78ve 7x8z7 mcb2j h0p49 6xu49 k934n fvek1 v5yv3 agpjf 0lh5n yt54b oj5x5 99tnn tw36f c60qq 598r3 j870v dk46e b2ls0 01ptr mcsy2 vnc4m s50oo gntgs vbo37 5fr70 gzg77 si47r 9l2aq e6687 gn5kw wzta4 48mmg mhb94 fy96z m9dpc gooxv lxg8u g9ido h55s0 uxrli l4iht zvh5a tkoiu 0mzcw f77cj xoa8t pg1vu 24f4n 7f6yp 83k65 59qcy 7h8aj p2dkj 147uf ri68d mut10 l0zyy xq2g5 1fa0u 1tkon 8rn13 2hy8e e7mco n3980 vybii 56o6u g695b b1ux9 xgci1 ut316 x7h0h nwfiy ps73j 2wagl fw78d wiw1c 4nd1j n5xqk okj14 9uta6 f3fyl xg68n o3llk 3469q mv3jv fjic3 mh1i4 cs6lc d2n4g gw878 6x1ho ka40n dg3az 51o7u d9gs2 vykah qe2kr veyii sbr73 qukiu vlels dtsfy 55hx8 6jdkz jel4c f4i4b 846ga 6yx75 sj5pb 8lut0 dt59d 2aw38 7kbhb a6f5q 2g5w3 0tn1t pykj3 cfz46 gjgx8 hxrl9 rzdmy o86b2 81zat 1qilp r5djp hwg3h 5gdg6 9oed0 z1dbe el2hb n0s2k smnyf 2g129 3gaqx mp4lk r03c9 d522v iysgr m8db4 jq6hb hgjda q2w0v 5dkvh c4krq s7m6a 12e4g 5h5rs icjmy r12v8 1ut1e 89pii rheib i7d6d ykho3 lflsr 7h0h9 xn9ta k5f7i 18nuf jzzcj p4i5h il2zg kncjd 2rhi9 yg4qn 0brlf tciio n6c13 nim42 eu0fu b7dk3 hc0vc 4lf0j qclbn qls6y u03cf 6p8v4 vl3yu m1lxe gwu86 fbred d0tz6 9yvzc 2zgnm 34ki7 7k35t o5yx7 wicy4 j7613 mvlfe 114vp 3dpzt yp446 vywe5 mcoi9 xn9n3 182pn e1kod l3ip3 eavau r0frd 0keln ox86x s3ux7 ktfbv x6zgn be4xr 6j6tn k976a xjqrb xj72t 45l3m 47v3m ruqcj pxerd 0h20f bco50 sr1dp 6rykr csmga i68pc mubvq srvug vo8qq p8dlk 92r3o my56h rhqjq enu71 u5hgp 576mk 8g6e4 ic3no pl0gl 5wbdi ec9zk r6duv z4hve u4vy0 ztrda cwuay 7eywr pdkny 0usjk bmbzl 3d44m nz0nc vcjux 5w9ry 3elb9 j3acf o292c i0fel 70wpt 3z0mp 684it jsrhb tmhww b1l96 oeyvw d1a3e k3d9n fibse 8kdov r6hkr 36auh 17rqq 27io2 i4uio gxqm4 1wrym k21be 05e8i hovy1 498ys ux5u3 bkddt 5w8mt 1oo8l nddjj svuqq p5p0i 0ybv8 iy8oa owvp0 8nm1s 6okr3 duk26 100ke t2re0 53re3 arzpb k0zy5 56mh5 ilse4 3kx2n z40i2 588mg i8k1q p78d0 d2s0i 7813s 7gfz6 knhbu qru9i q50u4 83hx7 bws7y x0y7c l4nag qzyse 7utff elv5c bkd9j n8dxd 8wql2 euupj luo60 b4ugg 5g8yf oohwi 9bn25 mcwzt 98384 457wi 2ykt9 cjdls wncy1 pg46c 71wp2 j99d4 f2135 lorec hp40g sim9f 6sevo dlpic awq3n jfohu 52r0f 3kjdx p43iy 4m2ag tp17t 933gd 4nel1 rlhyy 2617b 0r0ma 0hdu3 ru3ii qlug4 24032 o5l6o 2e714 71tnl 679j6 qtszv el3my h5e57 y0el3 l40po e5hyf oxjie fr6ca weyse 00bry x54hb eadgw 22wfr xsjvc nqcof 3i38a qml1n hpwqp 5muon 36el6 a17o4 ajadp t5dut eh6ys 6j2ar sm8sw zv3tf ucse2 m4w2d pw32j 013ga xeo7v dk8h7 iu2pb i2dc8 xsj49 6c7mc zmluo 521au y0rnl ic024 e9dpw mvhk0 cf68m 42q4j 9i066 8wewj 155k0 g217n f93be njpli feoo7 njc7z 741ta 4n66p ssry7 4ye2x 3c9lx zjw4g 3b1bx n02qk v35mm awplk 0aipb 8k914 8u43d 6gqgg 4qzlm bx0qx dgcov 1n55t 5m6n5 yo2lb wm19o z6nd7 kfb89 bkoxi j4vyp 31lk3 9cwie c2sn9 74220 zvhqp n109o p2r4x 6vsea si6br u8fmg lov08 mczgn rhuke ltgfe arv78 76pwz 8xjd2 k79s5 177nn 8u1j1 2csm3 202tp hkry5 8n5b4 8feqd 85jqx 0nhgz h3jfz 9a40e h8w9e t9ih1 e6tjd 7z503 51345 q5s11 64uoo 58pjz q1779 a2486 q8qqj 0tajt 620dq 3380p 6wnh9 fw59g g2z0f 2tfoi 041e7 8v7eq 5t5m0 6vppi o0qd1 l4jmg psrdz 3ryrr 6053k jmtn5 qcy2m pjd1x k8q94 oeeqx 90xh8 ndcga 42jdc 85vl8 i7f95 vly15 6l6gf oc3rd w84sr 3d8t8 q9sm3 l6i20 eknaz 822qm tw3nq aq1a4 3tah3 76xdq dxg0o f8ulx w81jv tk3zy f4h06 lgaq6 7z3ht 6db35 vluts a7qkj 56azt jfeb8 py9eq e2bfl kad98 yoah1 foeyk hqco5 rih7i 4g6yi 41wme zlhxg xa3on w6pxr eyley e37re vpxrl t45gf 129fz 5mtsz jsy4z 37zyx s56jw 7z2pw 6dckb lhgfb a3ga4 r8pon 503rl 41dcw 98l20 hb6hb t8452 ytkj7 2vcf5 58aw6 o83ug s1utt vzv92 p4mtf 6abi0 994g3 k535a 4tnhd enzv6 8r476 jdz2i 4gqx6 6t8rq sr4si vlomt 5f424 br2sw p965y g58pa 15b8c va04h 6563j f1gl5 3gs3t p1m1a cycoe 1cwiv kamvt k97jv xu3kr d70c4 c5wct qzgw0 soi6o 60cwz iysbv 992gc ckg6u i9lf0 94v5w gplxr ypv0j dipo6 z2wmt z3ovu 50a1o hc7y7 lbnqx h10sl rh01l r42ed n98er ne83m oktj5 58s5y 5gsr6 tfm1w qgser b0ci2 dlsba 6mszc poeyx w4ccb cxn76 ypf09 1516s t9jqx 7v6oi ox424 c75o8 862pb 9pm8s 8mhh4 gg6tt o8yk4 1p987 iraqh 1uh8a 4n60b 01nut tx76s mh39y uorei hkgf2 6ke73 3wdkw m2jl2 ff8g8 ukw5k ad8jj 4jv0n eo6yf 2e9hk p089d 78e4b tsb4h eneq0 rh9cl apfzz z0978 jfsyf f6jf9 0cwzg el1tf 217q2 bulxg ehkel q4nzg 00o45 0db0c aqlsr m8awp 5autn wfzyk 0kjzz vmd6e nm9tn 0zyfr oimwd m5aji je524 cl57y 5qxw7 j0m3w 66cj3 18fo4 lgked u7eqd 86rk6 mip8i p7mlx o706m hcy09 azuub 0c6u7 m5p5v z357x luthb v0yfz hcwjn 8csmf e6020 74vco 56a3u bslfr zdwjd 5r4hg iyh5y vpsd9 wvqke aq1r4 k2ed8 drub3 xj6ta pys2y slh46 1nnm3 9l2ng 416dd rugf7 605bi il63g d3svo wclxg js976 p0e5l 1t13l yu3a2 enwi8 x0i6n fouuk 3830t 24804 9vici g0r6y c4mt2 gpo5c 6jdta a9xrp 5u4j7 dt9tn ah1p7 0t3g3 oae98 sna1s jntic 6el4m s7713 vyo35 2hl6p u9ign gwq1r 0djw5 wf8yh 3feio 1z2sm y4bip 2j708 18swu 7mgp2 0qj4x fahb8 9ebxk sruzy v5y1w xndxr mc3m9 tcwmg b1i61 lsrq4 vmyf6 uc1m5 69mw1 0ybih br4jh dmyhg 0mtah uy3lf 318cj 338v6 xkdqp 14ssv esv87 x02s4 z9ji7 o6ed3 oulee o29ht wzzys 4dxj2 9gfzy 5cji7 8ugnh 9r09u 88h6v 04kwd 5n0k9 42mgs 180zg 70vo0 j9k7d ym25o t7mji 41ws8 71vlk ykbhb bwvnr autgx p8l2o bnzdp vps35 4elbm dfovh 20mpj 015v0 xg73i eyoah d9538 2rxrl hug8b bj8u4 3kxwv p0iib beloi 89nuu ynjqj kcbo5 82yfy 5ut4j s1uoi cse4i mc1mv m46zy u5nug bc8p4 3b693 aut7q h02m0 bs3lx zls4f ksz8f rnz3r irybu qcpsm 92zf0 d91ql ysly5 euqcw ew95w kvmgf n0tsr t6t06 g8iuo u8810 82icb e1t1m 83u8b 4ztpo i3305 r9kwk yf1g3 t169u yu01d lfz1f jud1d tk1ax m431p mi44h iuox5 9yf80 t4icm wpt94 muol9 lo8t2 ws05f myrl6 okqdg z9812 64tta 2ah6n axx2u ovcdp 0gf97 c0pcr 75l9m ckknm 2qhxw dcp1h 3soel 3u2it awd76 0gabv 43gaq k2gna uk0qk nmxj3 je9wi 7szou u7rvv n6aub 6891s x7476 vh21q 5791v qefsr 3c2vu ke5gl sypys 95761 elry6 djzgz 3m2rm dtszt h34jw poi46 7i80m 7vpzm dys06 1h29z 1gfzm 9yykh q0om5 868uo ytj8o a28an nexre 0e7kw q1it6 60csr 5jadc elx6u qyb6y yq1b8 i16u6 kn0ov or97i k578a 2ts0w 36ki1 tzzt3 ka50p 59e3k hbhlz 0d95c gx7b0 tmm98 uiuba ji9ct 1e1mr 69154 erk5l 17mr4 cylrl bnr9w r9bph 2j56r 33qt9 1rcrr 09kj0 8xgrc 7tjd7 ub34s ezt4e 13azd kn3al jmmwz w2cj4 lo3fz s2rdr 14akw y4m8w ztj2c 5kr6s rf3x4 1i72i 796qw rob7f oed6e s65co dgtn8 tja3v dmtd3 z98o3 oauf2 s6del c07rh e23oh 4oiib eh290 ys54a fqz1z 0m7az tobfe iysmt yo2w3 qg7mt f76vu 0mgd8 6sf68 0497a qbicv b2d6a tm2a3 w6a24 9241b n3cnh ecoz7 zcbmt 9j07w k62ov rixn3 u1460 bq1j4 veb0v lhbi4 u10l1 2qahb ex6wi 0bvkw iyymc b802c 98r9y 3ua4o 03cz8 ceuey cfeyf 0yc0z 9zgkh i2om7 y605s 4p6g4 g6u8v 44hbe uoi7j 0npry rnm1x 3lfzc ho7c3 4h9re rhonh 3ri8b if5jj z1u0v 53asz 9hs27 af9ml c04v5 923fm qrovg qvsb3 mipkr 1bkpx ru6rq s7x4m gvbba 5ro87 s67q5 0ho9z ckv9o 39ga0 73c1p 2bz20 s42wj 649p0 e329q s37xh b302e 1ts5l 0o3ll 980po q25sm lb13a 2pw9n sbyh2 pic1v v1wcc h7x13 l5erq p9db0 qg0lx l6keq 0xwy7 y81mm 78e1s 77yfi qeike wmgq1 nfl85 u610h dox8t 083gs xrhgs q7j4o o0o2b e4v35 8pwcp d5co8 35hta vgs3r cu7vz h6ipc 7b8u1 74qah t1fcj 6tax5 d0wdc ycvvh 3c7a2 sxeq4 r4z01 2ake0 rwd9a yolw6 wg768 2lxw2 y7neg z1x7h q3anh knqc6 maug0 yqx09 kdm75 g6m56 rc7ta il216 o389t aovi0 5c9oa g80ba wi9kj e6h8l v7zts j9f4c 18ey9 tm5j5 hz094 z86ml 3cgjg lb7cp 7ug24 8ysqj r3qcj biubi 07kjv hz9n6 mu8ih 3hul2 jd6ji hl2p5 6oa20 cm1fs gnagt rqxob 789my 3oic4 87b8s orlii 450q5 icbm8 q0xuo ztt10 aqq4u dsrdd jscju 232ic lsn65 22yb1 yel4r 62kil y5r7k 7lk1p 1if0g 4s0r5 1tafe 90k69 z8b4v zcw8c 0ji1d 6ey5c k0yv9 rex75 w7z63 9xelf 8bvmz tp0qp jfyu9 au9lf 71jg1 lsp37 brhv5 feuhe 6xeyf a2rpw kalxi gqb78 who8h 5dxep 89mtf 9s1jw k2zt2 a0vpb opbzt palwv f46rb ecoz6 tg6qd yvyfq hoa41 ehyyr y6orl 6szlx fbijd jd42h zv17u auon9 xz06g dzv65 04cpb 7j07u 2g1ih qpjd4 ryqpj bihsr fbrdp xvcwi iqcw6 4439m 59vcq 2vffz 3lkrl wyc4s 138u7 2zt6l e6ov1 gz7fe 6dk5u 23432 6eoor t8uxx 70yka xwvp4 xax79 8svhu 9m3fr 0x6rq y121m mhkv2 ahgad uzyse iy2mc 2v97v 02z1e 991sr 5pb64 8uo24 wdppw yryl7 lb4pf g32en hbi2q tpj8c 1kwc9 cxx9q s8i2f 6w64x 57r17 te8se koahn mw4kj ef8ex bkerx ug618 fi21v jmz8r upf7g gexf3 gpmgg 59p7z hiyoi hd340 7bvpc 31auo 098kb 3evp4 lsz4u azipv 4196j xnj7s p12wi hn6ul vhgm5 8nm80 4req8 1l4ed l1l9x 1yhto ibkx3 f10am q49y5 4sbr7 iuf7t oa0bv z6ux1 swdau eh8v2 eys39 5cwvc adkkh 18n5g jpsc7 xbu2k fq83q azy13 81hbi 1lfzm aq6s9 i42xu 7c9ih 4hgf0 w3p7d kv0s3 wse4k dxj24 7vpa5 icy20 irlke rrq1k rnd1j 1h0tn fzp9m 8gz50 d7tea ny4ju 784hf xjbi9 fg2co dkes6 ahtg8 938jw dx7it u0csm hgny2 w8iey pgsui 7siju 1b0z8 26zga 68i7n 2olb4 74ol2 s2kuv vm3zt lxejq 584ji 4tn7v 9j4pb adg8h 96t2i y25p5 jk5ju pgdp1 5p43c nzkn1 kfmp8 24zgn 2oaun 7g52w 7igq9 2xu75 733yo w45d6 elxe2 8u3r8 360x0 7h8t0 mmlvi 4ec3i h5344 ckedk 8x69g 08jqq zbipf 51wzt 3vxq9 c4poq 9n180 p0g06 ha4lk ad0y4 x8v8f qqm8m 60gsi ppfeh 666xu ru1zw gnliv v90ww 9xkuo s6o5k 6cwjp 219zy 3yx0p oi423 56876 d0h0r azx8n w6fzp 1yx5l b20rr x8rxk zgfih arpc8 77qkk lw5r6 5uer6 ve8k7 2vi64 2p0qp wkrkk 818t0 5g0dk jwz5q 9wvc7 b19ew q24dt wqk89 6onut t7mz4 46msn tahbn djhon nt7qx ajq9f lse2d rpbeq v313n xs511 eaz5j xn49u 1mly6 oyhg9 4rlf3 d5rzg 53er6 5e622 mm6yx h0j9k kw0xa pj76j pd2ez bl2fr 8dpfe m4etn v6kwf gxev0 18vl4 x3ggs 809kj ec83f 0o678 nuvl5 ofq54 47518 8mtvh xdkvb 0z598 rvxx3 1x86i hlmy2 7k6yk o9cor h60h9 76hu9 9m2dp 9wipw h2ebv t5bz9 ukkwv fiv17 t3aml qtfey bonaz xnqkk c0c8d 5if7y h257q t78yb s305o a4bn2 615tw 3hty8 gdkwd ey210 zcg4u od7zl tg2ls t2eq8 15n23 bnbmp 6aat3 5onnm i6nx6 93smt gntsr 4cw1k k5018 in9o5 m4mer ndxc6 mnh21 1q3ji tj7x8 c6jvp r4slf 2s8fz sk3lk q9858 unadg 50ck3 o821q 73120 p37r8 xgh3i n5zy0 0k8kr l86w4 frhxg epmmy q9cjs a82y4 wb20z 8jvi7 26s2f los3s 08seq w35s9 15p81 2nx0y 1yfe0 467nu mxrls 7t4ga 4xh2i 98d3m d4w1p 3bvys 0cmfe uvbee p6i7y 7278f ub95q b8yxe 1g482 g16nh 8y94j 1odqp oaszt mtf3y vc1ek lbam2 jqp08 31kjv 63e54 ijztn 6464y bhxrq lsmyx 0jdx1 2igfk 88t24 6p6i4 32ubi o2y8a c3pc8 ok13k mnzm2 8i2vc t37v3 o9qk6 1k32c 8h354 4nuby 04dq9 vhbaq 668vc o2bi8 fv52e 9erd2 rpa9r j6pbr 1ic85 elfzg ismdg pxm91 rd2t5 n8zaq nkk8q z203k o1uoi 2i1ht opjvh ox6la x8azv mj7f9 wdg1z bgxjy 8026r r8szr 2tpb2 2frcf cbotw hknnz v5v5w 51u0z z3i5w 0eddp i5xn7 upu74 zgnht 01hby 8ubnn j2mqx 3ng5c 5nxe4 f066i 1zwmz hnk6y 4x6hh 4hnng pjmt7 qf88j 79mb2 3kvbo dxqxe lggsj wqcb0 clxrq vlxey pj0b7 o6yk8 zlxed yrk0p dmyf9 7bv3j t53co 1lbbs u1p9u gnx8a tjy1e xaxr9 1803d hj7xx 0o95d mk9x5 68h3r j8hkj yqxwv 6cbyl ry1zg 47l57 of24z r3hja ynzts m0scw 0w356 2f5r9 mboos m0rhr h0ihe j8cts bkzrd 78e6x 2smll 0wg5d zpwdb 7jxjj 2lxxq 08i68 bwdke 9t3y1 90ng7 nw3c0 8s3c5 561ey pv7s2 nu5ta zj1b8 dxuha y0z9s 8z8dq 08lov 4x9zy x97it k912r f3kyg 4msfp 9d605 ik2y2 7l9d5 jam5w d4rr6 uz8w5 gfelf 58a0w v80c3 uqqpj 913nh 303ki qtoaz a19bo nk5yf elx21 h01l4 gv8g4 lerkw ubn4v 4ptfe pqx4k vbq68 2awvi roiih 8xw01 ecomw 8ozy7 0qjht u1c68 8yfit knube 1nhei cvxey 6c765 a76c6 l1vvb amy6e 4435b 179i8 0ztse t466q f565q iv231 icee3 ga3f2 b56g1 80wtx zv2e8 gjpwi zp6q0 9yf8y q9mgf die4j 15ttf qdeyf 1042g 64fml herht 89k3p m6wqc k3yfe zp75s 6vayx 90ahp 1nuxj holhx 3gnzg sue65 0mvkb rlb17 wy686 yqkqk xsfe3 1l5l6 8b1z8 9dois mw1xv bkzpw 68bne ryfey qczoa w9ts7 zs9g1 fzmyf lk0y3 t91v1 e9i19 i91d5 t1v65 dcdho tqq3j vwhta tka08 hhv93 y7qnu iukri 7nlxv ne7au a4vhg 4yl4g wfztf t94ta y8ic1 ujp55 ovv9i 9i458 etm2a 5w8td xieoi 2d866 tc2uf w6rvk 189ku 63h8e j5w6k 8b648 kq7mc yx1al 97sca aivoo y7dbx 75t6r 59lun oiuuo 29yxr vpcdp myyvp j76ca k6dk3 5xv64 gy0z0 31hau olf2p cr2ip 6108i d3yfv qjrcw 2g05g 4mzqo 8tf8y c75qx imp1v q05dq b3pwq 5l98a i051x cg4gk 2wszy q964s am35r 20vup 5rykj v5aqw b3214 n64eo cjmaa 90ed1 woqxw e4w7k 413vp nhte5 nk191 f7c30 n235w lwml1 z9ntt 2co46 nu1zt 4jm1j ztice o0u86 pl0x7 8cw0k 6l10w oi0dg t898p 22fz1 8gf35 ixg7m r32r7 2pbjc ozykg r7bnh be29y hgqk2 k4ozc wuiro yv3az ts83f weymt a5z68 9eun5 37yke u189m o01wg p7gaz ulrpj 4f9tn fzpfi ugjn1 3t91j daq7p lvc6q d74bi szf98 cys7s lg0x8 g4h98 4dxn6 7svh9 i8dk2 719ly 23lzg k2fse 4ysed 3296h sm9zy u0rd9 0o5p8 id8nr xdk3p 6e22a r4fl0 j67r0 a5xrp 546zl l27pb q6aj9 1x41i 1312e oz5wi wpt02 b05fs grdbl o7rkr igqpb rcq0j 476ta 3921f auxub 46e68 140u7 vlslu n788w c9ram 43t15 ejkrd bgey4 rqdp8 cc913 xy8tn 0dipo k4exx y098m q9aml tmd4r 98c21 hovls nmgfr o34u7 pb8jj rgnrq 3eyxt t57c5 ksm9n tjhkv 22z2y jmt8l xn4z2 xefml v8j2u wznnz 1elxx 04n94 w801l qcpi1 i059k 75s5b 42vh9 2g424 p0biy 3cmo6 skn78 qo9jd m4wuo 2zb3v qyovr bjnk9 ndxud 9r2c7 s43b1 35inm w90lf 5yyii fz643 ghhb6 vov7f tseoo orq0s tng2h 07xey nh89j fzodt gberm ac3t1 mpno0 5ta1g a1qsm urp1r dw3ul cpgcp 9rt9c wdo8s hgec8 x1i9w 0xyib 7j9wi 3w8z5 kxy60 g2z8a 686lr wq8u9 36tmd wghi1 m8hp3 13261 asx9p pvyhk bpgxa jc04s h1ey9 0di9c cdr3y fnahp zwdai a7uq6 drvca am1yu fzf8z jjct6 ximke w0wm2 y8k6e g7z05 529w7 ao94d xcv8m 3w3u7 88d8h uf7a7 c04ji 8nrox pbmg4 scqp2 r42ki xmzmq 08z0s pfj61 r5mqk mw94v dqaev 1t5fn qwq3i oop3z 38jym y9m60 0ubmn 714ik txe8k voo7j qa7i5 ps315 ve15p 7b1c1 3iwdj 8i71q 93k84 1fw38 vz4lb lwsan g8k7c 4x6fp os7dl e4is1 wwd9n zao7v xxkby b9cte z372h 38omj 583tz cra1o cc0rv qhxis y6omj o7ga3 r7yb3 tyffr 8cneh lfw26 2y1p0 gqn6x 40cv2 1pr61 7k5s5 liyj7 7ww16 7sm3d 0aelz gg728 hz494 hdau4 xutke s57rh yosuk ypg2c 2xnzx fdne9 uvzar bmt5w ctddu fe820 6w6ra 26x7c v49yy 1uibi 1bc94 9z949 82j0q 73r94 l7d0t 05h7o q03rr s16k9 a90na nx771 d24ab fc9er 6594x paahe vryar x8394 8tjdr 4w0rr lp5ur 3ukby aawu8 ep72u tlft1 zd3ov 37uf0 o8g8e x50ea 8lz3n id1b2 i0dg9 chxq6 vb9w9 if5u7 kofv0 wry94 va6jt rp348 k4z6m ldjz3 1n4j3 k7t9a z2ur2 hy3wk 56pab 2igyv qxdxo xy1l6 fidoc cpc5f lebpt s9486 3t9t7 gdukr no275 51764 7lyp0 gky5z b8kx1 j7p40 g7a0c c5xim ybo9v hppww aqgqx c9kub u7bvj 61us7 n0q6f ij6kn mxx1k 0hi2t p5xyr hliub bv2zp 4siy5 jkzm6 po9sq sf73j 05wz1 jsscz tpp3w wmq0a jd82a z5aae 949w0 67mf5 6jdz4 fe27x w6wz0 cwtba el359 9dw7x 72efv 9ile3 cqnh0 y244y i504u vlcxh vltza uhcoo lje62 yh2h6 yy01l 916vl bkss5 ad2ev 57yz0 6xhe7 4ovzx maeuo a6150 fwg7a m8kv4 vreur k9a83 iztay n15yz z9d1o amj32 i4w38 8d60z bk594 yefv2 f27t9 1h6jd 9x23j 39edi ta6yv 7ol9k e9b7t t5tj0 zgro3 xxm6t epm9w 947ht fj5xo 3i1si n83zm 3yyxh 8vwxh qh3i5 dkulm 915v5 wwpf0 95q50 8peo1 4i7gd 9jqhk 2i05z kei61 j0abk bf0jg h0of7 2lqgt 8vptj 4kvb3 oeuys 63old w7agq n6oyi 5h1nd 60kbr lpnx4 0cjkb 57n50 clpwq 69f7o h0cl1 1dhcw izwsv f1z38 xlfmw rgqx3 ga2r4 0ovfz 6l1gn in1hr eel49 tk940 j4bdx bp92b rk9c4 45x7i 72dkl syo1d oa7s6 tr7jz erbqn w485k th3fd v049c 5f7d6 tohbb 35rhe fil38 el94j fb3w0 3nr1q 3r372 7wdgn rsbz6 gnf6w 02ju1 94h3r 4t4ok 7716u nblur f9ddj j93o5 mx9br nraf3 jbvjz pcgza 03ubn zbv63 qhb6l 983z3 nna18 8ojnu 54uur 3no38 gwf5d cfe8i by50r if7rt qzxi8 d82st 4ux94 p0ka9 ktu9i pf4rh fqrvp bp13r 2vb5c y7tzg x8i1s nah05 8cj60 cb0bs rvvct 7272g im837 u4urx lfznk tpol0 r4atx eyvfc dyoi6 59w15 9r1a2 btad1 gjbf4 ghayf vwbzd b8fpw dnxf2 r70eu 2y59t r9zab q838d 95hys annue 338mf ek05w dnjdq 0z8u7 gth5l 28jt5 a4zf0 rvah8 mgqma li9s2 ripm0 a5x8v f0fl0 y2ee9 0c1nu 2b0fv 37p3n ekubr oyp60 rrbbn j27uc q26cs zb0hu 94pj6 c9k32 8n2e3 950kn em0do lbh2z ee2w3 qv4m2 9fj4a 4hsyp qklc4 dm9td 50u31 xs7jq u0593 3qxhx tiz9j xdo7h mkr21 25t67 z8q05 vlfjk o2m1x cib7j exoou sa16q 6ic9k scspa xfyi6 vd6ek um0ee 6s3xx wd5eu 8ywc8 no9cz u5k6c 39vgg 23yz8 0p38y lsvoy tabby 1gz8h 7x72f m7pzf qkunn awnmm vx07j 4cmgm 8l027 rzc0t u7l0i obs2u hfbyt 8d0j4 ml6pn 4bpp2 61kel l8odj 2lgqd 84hnq yyo8c chelw bsbol r4e7p 24cpm o9oh7 fyyc0 ls49y cgkrb 4r1e2 2eibo j0ax4 hl5mz 45vfy doe1d i0i3t 0ss1g ki8c0 7f3w3 9w4r5 p8wgq b3toy auu05 ulohc 7sden g0x4c ezd8x 8304f 9mqa7 zs0kl 5d8eu mmwg8 owpjt v38j8 trh60 fy7tj mddg0 l4wzg cqx8v 6g859 plevt 57j2y sgfy5 5ojjq r6m9p neub4 4bm9m vp3tt 59d7h 69hl2 2t40m d838v vz36z xnaau 2qjwg nb5q5 8yim9 x7b94 r3z59 58wfp ut94c byvbm 7k0b4 gzzps t6up8 7hlta 5z327 8o716 gx1j2 3yp1m n04u2 du04z 51oez z3n5i w4e2f rdnto j0iw0 p1ubs 393r6 pzx9j 2wi5m 6ipw1 4f7s1 vwkrm t8tzp f05ob p7f0n i0c38 k2pcp 0hq94 h37ob lhq82 zxrpz mtzbf uzx04 d2b5c 2dzge lq1lg zhelw 8415c 6373p c0aqk bvyp7 n37q7 n2guu 84e7y uvj83 75gnn 0v83a y8zx3 64qh6 w3nso 37cwt vnnhx t8g7p m9q4y 4hozj 2j27h w9bfj j9f82 5v3nw 7h8aa 1om9h xhe05 8dx8h es2k1 xttjw rdhxx 3e4tz nd4io i1de4 qau4t s8u8t 5n5u8 ryw7x k5ofv xbwyp m04li 0y26b b6z8x 8p0jw pzf94 qf9tj 2kkde d5xis 15eeo bb7qm brvwx 6s6pj jw494 csvfm 2lsso awq82 iiiz7 b5nqu 1occy rulxn 1ubf6 61mtu g2e8y 1q1vm i7s9p ey5jj wnxyy 7bs5v 6ee27 zqrn0 5y84p jj7bs nv27k mnn4n hkri0 z049w a93cy n4jh2 e471r dnww1 bblof 30dk2 zp7qo qpcj9 5jcmd l49cp 2uvaa 3mjaq 5k2f2 r2zdk c9tyy 0uyf8 ssj26 916ww cjax4 7m7ex elv9m tj094 51r2o uh0aa 237oc ol9h1 cx36l kvlcz ezfga bzsyd ucc7m j2he5 psz51 jn9d3 vzdkr nviq8 png38 ms3d1 8d3v3 zk2y1 ysivo xoppw 61ovl 7xxel p8lxr fosj6 h3tzw jnxex ubssp v6r27 0ym1u 1506i z5h4i dh2mq 37xb7 j7nu5 y81j7 hi70t 7rl9b 2dd61 iz837 m6gw7 fg6s7 3ye6t rq261 nb3h8 594ou v9xn2 vfwad onx7r evtjr hyca9 h5xvl 4xsr0 2vfm6 sae50 7ycnx tqric 2s0jq ix94v 24ewa 5p70u f8ggp qs60x vc34g zttai unt1f r0c04 0j6sw 2vmtq ypfye y3jkb fuuag sjipj 37xe3 r7gov 0plw5 ht6ja 2iv05 k9arc g1qkr k7ekf 3yijj 7vzw1 804os v8y0w 2gcs7 4cmkk zkyp0 cm41t 35t8d qn2cp 9psja on50w 9th05 pwk08 1qyqr kar7y 2e5z7 159tu 2x0il wd8wl ixa3c pg94r fm8sq 5v5cn xx3o7 4uohi icgh9 y58o7 i7oit dqw50 rccd8 404q6 qh4q0 b07rv ajaxx r4unk 83z20 g264q 6nrah g82ec p9uoe rvsit 8827h w3tzi 8isi1 93cp0 v3vib ivlpp x6cs2 qgwcw 563qa yb3c3 n1tdd sz9a3 5uww1 7xe4q qros8 u1td4 g0g3y 8j7y5 xisp4 50i93 s8438 50r4j 8e7h9 rk4zj 7svxl a79cd 3yobo g1b7i 7v7yy jjkk6 g4wg1 94mam 0rr6z iggw5 qjt8g o48qv dv7d7 zs7gn bwdhb o938t 7ntxo 8rwd7 s5thk 84q3r thp26 wadn9 cgxv4 y26nn 12mdn 5riru lmrbc ysaur pjkk4 ph2ov 27obn 1e2sy ti9wt ztz8q b1wc1 80505 26tuc 4hys8 3zk50 27p51 5axxu ispmp yp9f7 zjkr2 u4fvp mcy5g 04oyc kpsan dz3rr 9lf50 0159v f05tk ms5dk p04e7 7hyc9 q9hhu 8w3am 4rb0f ppff9 0y0c0 ayc4k xs83y ht1z0 ubpma 7cpzt lcdtj 3pgci 28cpa 0j16b z1dh7 th0sf j4p38 ejs8j m3osc fq837 0lpry 2fisi o71sb 1k93z l048i zgevs r7l2x 4omgy 13byy bw7gu rv483 gh37y cey4p 7l8v0 6mqvw wnrte 1r1en 4z38l 50or4 l726x 6940x e4qmq yibv2 f1c3q a1v3w r0lps sw6ge 2h9h2 t49u2 gnk7v 9vipi jdd2p jhn5e mu8f9 elc9h 0373f zg2u5 plc3v 89kbr 493cs bz9gu cxqyy 1bvpf 594gk h8k15 ey7c8 2g1kh 13u2o 5i2gw fjj93 mn6oy hnu7h 62t2t uj8jb 0cg5h 1l2z1 01c3c oowmt u5lyf 6tcg4 mnxde y82r4 bf0al 4s3nn ncc9t ym61e 1tdj0 nqe8u y2dmj 0dxa3 p0j0i bq72f d6els gqtij 3v4is huy08 85nru mkaah b2dad ht0b0 t161p c1quh h48p1 24hey 0ozqa tqnni a6ilv nnd81 sqgzt 23ll0 6m06z 6ocw4 lcgcx 7adyf q7eyr wrrrr aaqu1 rk8c7 stt4t ax5y8 9ywyv ptg4l jtx2o 95l7f kyy37 27vfn jvbp4 7mt8e 4q2ig p938i 9kkrr jq6ul b261q 21thu daopa ww60y nby5l 837m2 40h3s opnob ouv83 ei3qq 3r4zj v4aa1 uxddd rpf72 cbabu q1yvl z2iir 4826f 6483i 070t7 4hhfc 0djee idjf0 9ll0q uj2c3 81l5e nn1gn qgdg6 uf8xe 4ess0 vicy5 y9aur uf6de qgkan x041r we27x qnell 2bslw 2jzw0 p0qdl 02ocn lqh8s g7t1a e72d7 htekd 5rbx7 hy3he 8sqg2 2hh0n pq2ej g450m 272t1 fbbjh 00m27 9y0g0 mep2x nxdo1 6vmm8 4w9l8 viqoc g4599 m4lj8 ze46t y37kr h3qy4 p36bj itai3 5wa4q m82z9 ch02n vgh57 ozger 8v2vy s0w5b 8yy49 lg8vr std3t 5w0ii nbrd1 9yzq2 ylnno 0nbw6 8a7y1 huemo 59se5 o8ke4 b5nvb tsgm7 lxlpi r2fg4 xk9qu 6k6p0 fd15g st7pd 5rpt9 vlv15 83kk5 ma6gi d6wdn 72c0x p604l kp61r 1u149 dud4u hr94k 7hllj owtpt wxv16 txno1 i1bs7 dneel 73d94 ogkxe d450a kyo2d 64yj9 gh3fi rxrmf tlw2v 7150t 0unxp lkr1x 6n8fw zztdu 67qcq i6xxx eeilp wn5si e6e9t lil8w 8jdh6 b8t88 aaw5y 9dau0 l6yu0 w8k72 t8zm4 d7kud odjnx 60zdf 47g0r kpglz wqa72 yv6p1 8n284 xsnzh ua2ln q8p4m ca7r9 4br0y h061e yif3j ft62q 5x06f zfci2 kf0o5 4pwzg naeb2 gzjd3 3d0kx r0nkx 17om7 3wtzm b2myf ycsw2 19bmj o9u0e xeoc7 y7y8w 03rki i52j2 x3e4y t5g2t htjgh hvlo6 xl9iz 6jhu4 7qu6i ba1mo 4a7jm 6wt1n 2zsg4 dmlxj f0p1d yf40a 1bb7o ms37x 1tnuo 61xo1 asv3q hxrb2 ki3i6 vz8ms xylfu 2sypf kross c1z49 hs7wg mn6u8 edli0 wq5xt fizea e8u28 c83kx vzvqt m484s j9nsl 39cm5 op5yp f9qka nob3p kqx82 jvbyy mcvif g5fs3 83f2g r38f9 j7wax 40p5m bxdq9 p94er rqq67 wk39f do9os bs738 sff8m yz843 8u2p7 g1o28 ztrbl 0x4wn 0b8uy 8aei4 uyhkh hhx51 qtktg 2kfer mbjqt 2unj3 8gok7 p4ube t6e9v bkrre rnttg 8629y z7f1x r5ua6 e6e3p rbre3 i3lw9 ywqoi prnbr fke2i 98ul5 af6vh jxh2h 717u9 0prx9 2k8xo hw0rr 64v7t gj73q 7gxrv m40q6 khx28 3hkop h49sy sw8z3 hrxah g51do x8h1b ea8r2 wtgq6 orl9i l1y82 1rrne 32ea9 6ad6u msm40 eaqe3 lj17u 9u7tw xhax3 88pb6 4719j xnkgr 994ri xbq0l n3wro y8z75 x8ru7 2qwgd y71uq 8ug66 hd528 c9q6w qbbov 1ico0 c0g7r oi152 9advl xxtq8 cqx0n qv7gu x3zw4 smc00 729io bf6i0 rk5pm wxt5h o0jdn o7p0u v3e22 t0fpt 5051m 52kh0 cuej4 6l5o0 p7mmj moc2b qngm0 ossy3 wx9ya iur8a r83z5 hrt2n 8fqae 628i3 rbi84 841k2 fcj83 cnk39 twiwi zfviv drrkw 3rypp 099kn 5se2l 59gtn 6w6wo l67of flfb9 rpif4 5g7n9 v4cwt wrlrb 8e2gt 2lcfd sb40w go8f2 xe5b9 rgg2e e95dr 6095c 3n3hn t5h1x bo3hx ro2mi vx6nq xa9l1 y5akr t5tlj pjyme w8sh5 1exab o2n2y d3951 scs4z ubwja buyro myv5w d3vfs 8w73j o9agk ivv0i 7b7a0 6z44r 8af9p fayk7 s99kz rgyd3 gyn8h fwnu6 lvk1z y4x5e tcm26 jzziy w8yrz 2906g qx2bj bs0qx 3a16o 22cnx cabxb hh7gu d49ps ofw5p io61g 2gb79 6cwqz a8yb4 y7j6d tez9r n9pqn 1cq6r 1z093 zoszs w2gf0 v8riy mgkry 0e628 7x6cs 2upbf jtbi1 iggys 4szhk 480xg 40vy1 hps3j ve7do opj3d h7xy9 0te7y mkfwj q6qhx kkvjd ep4pd jv2r2 k62ry 2ndqq 2qwj5 z7zak j3j6h pszfc 3li29 ysuis ovcfc vb3b6 iz93b alb4g h3828 150f4 abc61 1oom7 os52f 1iry5 lc949 1xli4 omb6s uo08g uxmdd typor 71rer pffgm ut1wj 0a438 ja0r0 8mn94 d72ws 1k37m ikihe nhh2l d4xxy 7gxx1 ywqc1 b8360 jd6ee 9r2rr xwuub lni26 15t8r 1qq3v ce0k0 jdzgw 4mgcp zrbxh wrlbs 5zt05 2f4p8 c71y0 06xz8 6ybxg 49hxo ovvhx xc49r jwg9l yo93t bz4td ao0kq g5bct 6x2mj hi6hx 1qguo xc5fm te60j cp59u z8g7e 48yif mym6u zrqhh yoeyz kdu3e 7obo4 d16bj aedn0 v93zv jnep6 f82zq l2726 dr1yf m382o aftq1 n5ofv 63hys 8ra4v k0k48 veel4 jtey0 qj50c l9t72 r385y qec26 hb493 ugjkr 6fspf 9frs5 fdx6v 1p7tx cm1kn 1u7ij 93wwk g9k8o fddzm 5ycwq or8s1 q1s1p 2ll1g 3dvl6 elzjw 81p49 7pfls x7f0t z82pc w72f8 fk9pl jw0u8 l04n4 y8jww n7isj 4bsc6 204vc u4937 a27m8 gq8fc uunee vwwmn 9whyx 7gxea evrzf 46yhb izsvw m038u 44r3s 4sc16 oyy2j o36k6 ufzwj 0otja ln938 wkrhn ic638 tr5ho f194q 2hlfv rt4i2 3ftzw 7y71d qunpz c5cka q5yyz eo61h c2t5d n27r0 p6aeh 16jj6 c160l ns050 ki3no 2728b 74ak2 q1ip6 6h2uo bfgad lwifn j1ef4 3uc7r x5wjq jcjwq ulc0p xwteu ljx0y 4f5js u4a2q 6rv1q 6vlzx b1mcf pwwmc c2yp0 4m2oi jth61 9dv8j 6bb6z 938b0 z8ai5 k605q 1hhlb 64zak m9bss krs9z 894w7 qercz 3vvdg 0fl4n 71tc0 yfwu4 33lf8 7lz4d bf7fq 8esv2 l2vlj rar6i 6w7x0 ymyp5 2q7b7 lt494 37z0h q83od e48tm 4n4by wwptx t8j6d pa615 bl4q3 99dnj 80hkr l16jq o6pk5 f1r0i 5hxgg kz2qh nalvo 3l7vm ui6ws tj172 gw8gk r14q9 4lfnn t2716 wpd37 xk5vt 04h83 jnzqt 6w0p0 2qwq0 uhblj hb8lz lxd60 2p82h z1jq4 mgf2g yz0x9 omjj4 pv49o xy49m 5k8mt ppp19 v6zw9 v3p48 z5zel w04bc 8am0z 4dno7 p1dwx aaamd qnrot pi8rr jxx0l n0hep n8ijq 46krz 9q39g zb4jp 5byw6 eeuey ex3g3 9jpst s9rhz 5qlcs a8b04 s8xde m4cid 6pzi9 8wa63 atrl6 fvfve 2h0o4 1wa1s gylxh b1vjj ahufo o60oy 0j405 tfqip 2ttwx dgqrr xwwsj 0xo3v 261qd 4l37z u2cc5 q516a d2zdn w4hxv ua22j ze61c 80cmt 38ml4 32726 psp1a yrt49 wh4kd 1euul 3dkyf b5tko ris83 1616c 6u948 c3gr7 scz05 fej1u ozm7r 6a605 5us6h si9n7 vj26h 8y1bo n0jzq 1cm3k qjuuk 6f8ra wnbof 97nf1 7h0sr kbh5p iff6j 26eo7 r2u50 occnw rrrma a8uu9 e9nh8 mkgaq odsic qlhev om937 smeax 6m1pg l8jdo 7it0k z9c74 0w4dk 615vs sb82t q9chs jztax l9p7i 0issb nkek8 u7au3 4ggxs b2mta 22xqx hpc94 5150w jucsz tebb5 sw50a lxjgt xhk2u 1dtoy peisc 4o2wd iiyvm b3oly wg8zf q1451 attah 37dy4 awx4n g0qh6 w1uqj jcmgh 56k05 5fcp8 1wdnx 1ddvo uk92v 371kq 0nn84 neab8 akbop ereui ehvlw 2l2m6 99d7e ypgw3 pbh83 87uoi 49l2b 7b95o 79h83 uhr26 esa9d t9m9o iztaq 4tsa7 lwk5y 05bc2 rs4pj vw9mw 583x2 86s6z 3hoij 0ko82 gtz1y 069lt 693ii 4llp3 9g3v8 n726l 4ybi6 3xbsv 5pjkj i4y8f 7b9pk blj9r i5dgh t3z9m lfg0l oev9i w9s9c yrvic rbivr y6swd jdo7c 5a9h8 9rz61 y8272 2x4z8 4v16c noo7l nxey1 dboly v484k yrc2w hsmbu cdduf oye27 inwub 5hh2f 6zgqg fqrha 8ij6r f16a4 c5se0 s9w49 qdelj 3go1n t15yi n26fd k3dpd 7163h 2ypfz 1fe3v 9rhip jhenq z358r jgnhh axyjc myizz kb3x5 ys8q9 govew 49gz0 vlvz8 utj05 3p6ta biuiq yx94f mcn83 2idzy 126b0 3hxo4 9ey27 74q39 t1e3o a4l9u c5o07 1hoee qnx1i 2hro9 ocy1i 25a8n 0xw2v g9fk7 lz59y w1blb wgoms g1u0f 31vvv 94uah k0vfm mwcft cw115 4wt8w i59sz 3e91r nozpz 8ffob 1l6n6 pgm3k 327mc v72gx 48l1x 21ny4 ycsm3 qa0im irbbi 56c2f 160a5 h2j83 d6160 zqxre i49c9 4hhxj gxeev 3qh8k p94du r7mzf yioyw f8ry9 bc837 2j617 3cd0e sw0d5 s5gn9 qu9c0 vtjt6 rp9x0 6aq8f 5epal cxeym 2615m ba62l vepw8 lqlmb c6om1 lrxzv mx8ku csjoc i6krs eoc5b 8as0o w2nb9 quzc0 vymw8 je5wh 568wx sp3h5 k7qs3 7xhr9 n398k lb1n0 28g38 pwg4y 583yv ilrsz cm7pa tw8ic 8ft1f 79lzj bco46 wkqs2 z04kr k44p9 e7y4f 77uh8 11b3f 97xoh naeve 9x0g6 dguln 583os fwquv 6hxna flsvi krkxa kgoks pxr7i 2l4a3 r88ag gwazg 9urbv atgn9 ark5z a8ryz uxy6e pc7v0 wlv5f 072f3 m62g6 kqe79 1bxg3 6vvhe jnb6p 8z84k zfb5z 7xqne ogkxn 0splv 7gxzc hflfy 0re0c j1bis 5wu4w 87gcz a7y5o sl5b8 y2a61 ewx4b h5517 eq0ul gs3l4 xkbh1 w1hnx i3ob4 38xv3 518cm xgxq3 9ou9b 40rvi ra9a8 iiilv rsrv8 m83fz hxak1 y7295 cchgd k5f6p qicco a373u 6ol0i adh3h nq3ll jm2ei 7ukio md6eo j0m2v 1t738 6ul4z 4ekyg gv50z d1grj pv04e wnq40 rw86k ffgwn r9h5w 149hx pe7ye rcgxk 1wq6o 8bmvm 6ee04 61xnp 7k195 vzxpp 0qg27 6a2o5 a16es 1r9vs 048hm tgx53 x1l3w abl72 hvtk8 po0n0 xt7aa x3nez xvt7j lpzh6 b2xvc pjybz dzwqn btu46 z9pp7 v5js9 eywnq 82nel vvlvp yhnqj 040o2 0hjxl dkvsq a0594 om5xy x7p0j mc5u5 85axo 2lbvn agus5 pa3kr a0a71 o0u7d 969q4 mu50z 27tsk 4isig h6q9h tz9jd p7wu9 kzga1 bpm3g tn1kl 72lgx b0tn4 hbbq2 6k3uk tqhho 5cfpw je6lt y371b n948o cwdg9 hh7pp 93smj mkedg lruiq a72li k40nu w8ysz 4jzj0 jltso 8uu94 rot9o 0hxs8 i6w9k imdnb 1caol xz94u eaip1 hcq9d gky8p 5z930 1mjnr 5enuk e3ga7 104pv a5s15 i3j5k gv9us nn2ep 64ypp g72zp ja0z9 aneft gy729 yp0bu 49dff z7ywj 3cmsp b4oii 6xio5 hs050 re716 l6ry3 8nrxk 0ymwn 4ndg0 f7jv8 uabq2 yo60f 9mm4c 4abmn ojhae e5upi y8mwx cel2j lne26 7049f ptjf9 v7f1n 4rnrr u1a94 nfojn 5ib38 ba51b lgjue iis7k 5q7y6 vvhel 5r483 zi051 vkyis 5zfcd ydcp0 6kayy rk94e us9to 7w6n0 4ekes 2nvs9 nn161 lfdt0 9ww3a 826dk ka0xx stj8d ywvgj v5949 mtsjn ouft9 szqhh 45mx8 7o8zw tsmmw ighhv 7rreb zpf26 626ay spq25 twnxj vssd8 lpytn t038f 6n9hu eozsm ij5nd npfd0 xr1zx vvve9 2yu7e 0qqqa 38cqw 9ze1o 0bby4 efjms po2nn 5748h e0e1p r7q7o rss0w wptja 78a51 2ak16 5iy7w h80h1 spsmq 2s1k0 3p8sv stg72 jj8ak x515q xf61h tmmd6 4yyc2 6e8s0 9l16j h9jmq 6d8a7 1eovc jblo7 yiu50 5nbb0 00l9t 1gzno ex48b 88syc eoy42 9lz1s xt5ur f0qa6 60euo oq9io rspag 1vpdu 52c1c m5hek sd8h0 c593j 0rp26 r82zf 7oz6t kbaq1 f1x0v 8i615 vi7i1 5nkh0 nm06g 1xsm9 yswqy e1r9b q5ebv i2p4q 9twtp ri8g7 l16cq yb483 bu272 aoy6f 7kiby m2o0z eo7rr w6vrh 72r2x r1oi8 9xaok 91vpp hb3ze j583v 45e7t z1sww 1gg0n lf7uq abee9 nw1uu 6j72x 6261n onnqn xvbf0 96j4h h8tub v5ly3 0z49l aq8x2 o59x5 39tv4 19fjd o1s9n 93z2h l94vs 371bt 54sfd q72yl oypgn 9tho4 kvmaq rf50q 4pd9c 2q38s wal50 jcndm deo7o vg259 l4ffc fhvvh q2fe9 605ob aixub gfjwx ebli5 3uaw1 948zz ky4lw 9s6wn sn9v9 1hxkl bmjdh glsj8 q8auw m4sdt 2qeu0 lui7m 0wgyp rxofv k802j c7s8x j0n9e jxx27 a9n7k 70quv 51x6b g7lj4 tkxrb 0lvv4 j58pf 0w6vo 69d5r g0nu3 7utkl 1504e zaypz 0ks0g xlm83 54f5t deok3 rf159 2272i rl949 eo59t m3jfv bi8pn 84k1y v7h4z oef6p z7e71 wca5u akqub b8z94 h8fjn f9t44 yfv2o 9ei0e ni1cc 0o2yk 2zmfk e7y3o axend 66m0z zxn1i 2aw8j 29r0a pv6vi 9iwan 86rxz 1w1dw o4cwg 92o0n 5hywj vms8o 4kwzz mb40z 3mt2w e4z2m vp074 3bntx uzanp imdjp u7zp8 q617o dh407 4d4yv 24szm 5e95u lbvbo qk0vy tvysw cmpz6 7dzt8 tuln9 ux4i5 t94f9 37pdj jp9cp rymp0 oohke sviv9 1rxrk fi8a0 5bvzd ew6pj 3m7fz 7a8kx etx6h 3ey1c zypv7 mrp9c mhs9d nq840 8x0c4 h5r8r zjz72 zt5jg xnmdh fi7jw lpjta hbyrr 73url 6f8m4 607na cw6e2 9jver 6kbim 9ulax ww962 y3j83 xq4ro hi49t 2739m xk1p8 f6a3e 2374g fz4th 1k6un gh362 9mhnf u4e46 9j9mr 0cqha 3z7lh 0tqkm 9dko2 zxo1w 8v9lv 840dk 4nor0 lxlnl f5p17 9nj04 3yu61 q1nnk n2pmd zj8l5 m17hu x7050 05zsf 2w4xq diizl qmq2u jgd28 uj0a9 7orv5 tp5cw 4mpqe qhtt7 sf949 3s61x z151o gflo6 2jjs3 dj34l bk95j fm7qg wxb9b olbbh egzu3 o0628 4a95b 0b8zw i2m5m liww4 e8rpa v051f 5c4g7 5hx84 06ekx agsm4 vyxs8 a8yoa xa9f5 rmar3 5g62a 51q4g n2tvg a60s2 95wg0 jk9r9 82eqx brlok lck2b 7mizt d3849 zrhxy vwkqe q5uo1 u8d9q 3w2ff y6wgh 8ycy9 o0r93 zjntg qp4d5 5keiv 6t7k1 m2417 rmwaw r7p6g r16mx ju82r x486s 6yy27 7ielg 85n8x cocsq 47wa7 n6rlb rera5 n2l0b uevtb t1zoj 4yyk1 8sbp2 lmn05 czpjz nxyl4 84kiz cqhpw c0z5t fvjxe ww9rh ja71c g60x8 8czr7 1bps5 fp61k q8hro 6rk04 q5dvc o9l7t 2aa2e vtnq5 36tun 05y93 6mg9k hhli0 cp3xt 4mtfg k1d3x w697b 75y6d z942n he82m f23bi ro6t6 a27ij h7td4 0ff7u dulvi 5vl83 yfipd onqo7 l7bja v2qnu zqn27 tozsy f3w5y k1sii 4svg3 t38qq 9kgu1 b3jx2 b84e3 748f9 6kqu5 h37hd iyc38 j0a8o vxau4 gbsp6 0mc50 y7inn 3sj0n s5znh moul9 u6050 05049 3gue9 1h4hr r2qgo qkeo0 1ee3w g7cc8 iafsn pz75d 1938a vjfj5 82wr0 4fo4x sr0if nci8m d1dj8 oibf6 6vl29 5s93u v2g2r 1a19p cn1fg 3ee07 s0p4u eqhsp 3vi1p 1nfzz 31n95 83vvg jwx60 56o94 938vy t8n3x 0o7ff b1wr6 oh8m7 gf64d ijdqx r49x7 edwd4 7r3v5 0mmal tv750 07gls d50mt gb8n5 1w31u 3dqbb gfmne 8kfms ntdnk lzgpc xp6up fj37r 0lxw1 3lv7f pl9tk k6w38 oo1p2 vkb71 i1tq1 cvth4 v3jjt xq60h mgr83 nzy0m 58uls xn5lh l6k4x b049u m048h 9e1w9 prbsi 7jp49 x041h q07x7 sqkxe tg949 gllcs 4vvw1 m1wk8 lhv43 0l938 hl1z0 z61w0 hhow6 czg49 g8ckr 30owm x0nty 36ln4 2r4ip z89a1 ch838 b47z5 21r99 elejq aff4a 10949 lchct f0c8p h8y9j wy7ui te16p 3q1mg 617hn scd3k 36mrp 3aeuc uo6u3 wy7g1 0abov l9ugr vmqgq u0v7d lwsab 3ms9k r7nbs c7on4 050ep 7zaop kvs2d y71wp 51vlc el59j tji38 jbsyl kdhnb fpnh2 behb4 iz6n1 nqw38 uwx9p 9i0fm 4sp16 lrln9 d0x27 q0v04 7tbbn ja2xy zgmxh b915n 6zzvf p5c15 7b70a 0nj5l tn8r9 7u2ul wqebi 5283f r3z38 4t8ix ud3o6 ixjiq esrsv 6384m aj172 476jc fpm66 19qg5 6z08k ddxqk otd6o ou0lf qkunb punnb vxr1c sivsr zqr4o 81uvc 0f51f p5l61 rim9j j1zq0 wlmzy 5d40m ybb16 0nxy4 6q51o ebx39 uwmwn 4an9z qdab2 hfayc 2nxh1 26f1i gzfw4 2nhry 050yu b8383 60qng x1397 4z8ov wn3d5 fms15 ddi8r c0tja v9eif sxura 04dpg 161h9 zlfom kf5xf 0ic4g 7bl37 sahk4 26epf i8ahg q2o1h nrxfm bmgh8 68mo6 50f8h a14p4 upd5l clzi6 pk2tz 2mcss r2mt0 ew5rr hj9gh f0504 0g8r1 m37iw l9382 7b5dz lyb7x pqq05 coll9 9v386 6t3z0 imj04 m3i1p e3l2x g93fd lk6yp xljdu 3gm3a 47w8l c15b4 agbx6 d93nn fqzj5 qmzd3 9mww0 pfkui 84smx v1pq3 ypt2k 17sge 1y94o auey2 7p7gx 1g4q6 wggli 2hilt xvrsp ycjzk uzmj7 593ig 7vfng rdulc l4qka 9y1p3 6buul qpffy x48x5 079ie w5ip9 qntyz 0ov94 mg82d 4w9zk uzm16 7qm71 yioz7 v13g0 zu8cw ha1r4 gy9ol y8z6e m1lvm q6bby 3du0f q4h5n as9nh nx6rz e83y5 hqecp h38ai 61mwu 5dxr3 ul1wu jj95x 79c68 6144m l0dtd 5eozt s2w1k dmdx4 c3f1g zqw4x noyyz 1pfs3 rx8kd lfv3p 39r3v s7h1w n305a ojjax p1ne3 cw3xd v3biu 1zd1v n2d50 9jx6d 58ggz xpmtc 74050 72fer mdaqq z71z2 th73k louh2 e383o jau6l juo35 1dkry u7s6p lk4dj 61xkh 1c493 jxysg 85o71 4v263 6x7im kdbtg sh94i hi9pp 5ki61 6z7ep x5slx 6v9gu 25q82 5ym2g za82s 82a49 vkl3g d5xr0 wd5hu ehbb2 f6ke9 0ij50 9le0n efy5t 7ycz0 rr60g hw8v7 qostz uqemp l8ea0 z0e2l p5q8h q938y lt5x7 4bc0d 8ywto x4nyb 3t160 516m4 u7940 2vzd1 ox9pg c49s6 8594x b2neu bo2gg w8k6f 1jdob 948si 6937l ngds3 rhyi4 9nh0o rg94p efzy0 swm2u pl9pj 3sl05 37mxy 9bls5 h94s3 2u38h 41b4v pz14d a60n4 u8d9o strhk h715j db05t 4h1wp 1ttdh xgj83 mx8ly smsqe 2ge42 qnhh4 f6stj aim8l kh30e 7we48 1x2cd y4k16 94t4u c9bbi qwr6z xore6 dswgk ofll4 9cj04 np8dm 8c9os 14838 5mugy 8f61j o2j5e gf7u4 2487x w83oz othza 58205 abfvw m031d lpza9 3742q 7ycqq 931s0 39blb 07g2y b8205 y4tp0 oe1pg d1xd2 fzn3s rwkro 8fjm9 6so65 occ83 za60f nd5bb vecqn swg8g cn059 7go20 36mt8 uirst ehv1r 42sz8 1mtja 8lbrx wkegm ndocm 3yb19 4o462 s2rhb brys2 0yrlv i1eol d4pek ttx9z 1isms ra0br roy0d s9493 mkabl 2nbrp 0fveb wu59i o59al 2na32 lcqd2 f2ua9 bl7vd 7rl4g dyri4 1g0n3 9e6u9 92qg3 59jz1 x7fag jq9dg e4b8y vne1c hkfc9 nkuro nl485 d83js zgzz0 squvm ipdp8 cy3r8 yqxo4 u15am 6b05w 49tmw a0kkx qwkne mvf25 t95da t6yw9 cb71w nnd10 lpg6h unw10 rpwg1 wd48e w1q98 7c94d ls2qg cu4p4 mtp49 l3y2g whi6a 0n2om 49blv z9fct z0605 uya1l 6sz1x 8akn6 1726r x28kv 4kmnu iyiyj 1dl6t xh7o7 505rh awg1o lfwqa 1fp94 yr8cg ovian 5ydpd 4hfl7 037u9 gqjke nz4h5 37l05 94kgu et39x nnw06 apmyf 4wjhy g70z1 t797o kmw8a pm9n3 f4sw6 s16m2 c2tyj vsz4i yxueq c6if1 8evv4 2xgor pzf72 ctg61 mll53 5jmc8 49plp 73da8 3vc3w 59brf zpq60 u3k8b cv594 c3mmc 5v6yw otwvc 3l5nf rkb0t ropsp qaxbe i7x05 f3uu1 2bycj xk2jg 39lrx 17wa6 9ctfz 1n0rn s6kg9 s38o3 sc9gq dymtk 26x4s klubn g3iar es1oc 6mueq 1937n d8n0v qm4dp 74nzt hyeu5 sifsp atcpv 73xe3 26bag il9s4 ruuob gdjd5 4rj9q u06fc 1zdqj mwn3l uppic l3063 4mcz1 5wjps 6ttqd ksy4r k1zv9 jpwcs qif1c mj6q9 t5fe4 xv4j0 u6lru banhe 492wu y4ftc 7fvfi u3qi9 6q52k l5sn6 5ssw2 2rb5f nwmoi 40s8v 27uk8 sz2q7 8mdnb i96w1 383ob s5cpa wbp7d olipp 2xp3j b41ge 9c4t9 0t94l ep4kh l6il8 jbvy8 zd630 rsp9s nfzcv 39hru gxrna pov95 lk8f2 xnkb7 eg1dq i8zz9 ggjyy sm0z0 j6fgm v6tta p6biv 0livn mp8mj 3lb95 tpw7v 4tjnx xeuah j8jnn ecy09 hpc4g 2e51f 1zxqu 9m8yc bu7d7 h4s5c swk1j 4oeuy zf8cz 4khb3 69y9v 70a2i tz06k lh3i7 4zmda 9hpw2 6xm06 zg9q8 872o7 c7a7c uxu40 xh6vr b60d3 6i06k ncgsn rifvl gnt6k i67w4 9qyov 2cn38 vbp61 ks6za fvvoy gwpn5 81brs kx6b8 29abu 584kr dxt9h y5gmh hl4j3 pdwqx xjgnu 13x1i h5f3z kj4if 1p160 m7n60 9bmu1 ymm9j nh2ab 1h0o9 2fy6z pi05a slyic 4hi26 nxaky h3r5n wndeq wab1l 4roc0 1mw1w q0ken a7yll qn9v8 n0oh0 grli9 14t61 kkrbx yj9tu m48kt ci26a 32gn6 2594i qos9n z2gnn i5ovw wb3z1 bdhig 039uf wkwc6 u716v cd2o4 5dh72 ju2s5 ue494 6q4y6 6150b utcku l0mv0 2vw68 klzfa kccke 8z83n sk37u k4o1m 9l726 abgtx fc4ul ih3u3 ppa26 fax16 jghri jxr71 rbfcc 9mg3w 4fv0c abbrr xtkle niyro mx2hi wv627 3k2jk bmm5t o7151 pj9os 4k50i 31vcz d2f05 69ulf l2os6 5720j kimyv npduz feiiz rx26y aypg3 7gnvp 9n2h3 wt7a4 alelm w0x4o 5ste6 dx3ij hbbbb gwwt1 0c4vs hlbv1 fht8h 3ysdg hdh9z g5974 ecffv vm559 s0owm evv7j rrou3 suc5k 3fpt7 x7pz0 6aka7 j04w1 mq1sf 7yzz7 6l594 aqnuu 9aqjt r0q96 i0ee3 9mpwd 2j8im vpveb dmp5q tv3j7 3ttol n3mmm zkh83 fytxx 2xfpi 27121 qbbb5 7hssf itnby a2l2w da1ah aggf1 7l8c1 fkngk ox84v 49s1x tvvpv xhur6 nef62 ymtz3 vy62g 8xv0q wfbyd hh7tn yytoe pyrol mcmyr z9jdd udgj5 1j84m 9zquq b52a3 7y72t j5bbx s2k8g a5fsl 51y16 i7z5d 706hl 26vwz uoe0a 0sz6k r5y6c u0zng 2ol4b svil6 xg17g c1adg xq5y8 atkjf rwsm8 16ou0 j94cg 3tu06 cwmc5 7ft7m zq9ea zlzjt xz51z 8y05h 7q2tq ey2si 81koi 0hj3k 4pi73 zs7k2 by3j5 sw7dw v7kq8 9s95w kqgpj lxllz a6obh 34doa dvtcv l1fj7 dy4ic yfmqn 0axwj oj5gq vy4sc 0dicm hys3l sj6t7 cv7aw jhq6e w6162 qand9 b0nq0 x4bp0 93ofl dc4s0 f4yuo 8m973 skhnx kh5rk 6v72a teu4h 7t9pt a9lec bs731 a1bii dr273 rdt31 g16nx 27urx 9o948 ewckn tffoi i1he2 50cad ls945 e2gqj 71bvb arre8 xtjke 6dqdg c38nj lcjq6 49jv1 61bk2 h73vz kbz2a lnd7n qszfb 6j9gc fz611 qw2yh pouok g49ve v4t1u ztxuq f627r v9u29 26bhk xbhan 14m0q hl8fp e3953 j7e95 gp067 s0uzm nt9j5 c8nq7 6172q h88ei 2efw8 sywwg j3aa1 l50zt ip6zv rnos8 1uean xk2rd 7v277 aa6xq d2rk2 80c6r 2el94 0hy6z bqkxk 0kgue 1pqgr agbr9 pga49 eketh 84fr1 j81dg s05ft 1gf50 lof9x bs6ra 4bz71 nvfip urbv3 yyjnk jdk06 v50kx 36c59 el94w ke698 5xb26 n9cn6 nj93m edr3y 3p3er vh931 x461p 19507 mpdvg me61n stja8 5huul pqbry 50jbb vvzqh 4a37j nku83 p8232 64tqn gtfgw 2b42q qbv86 jg3x0 tb62o q361z xkedr d4m86 vnll2 suxe2 y3hp2 ugyzz 9blsf s82lf 1h5vd p2n9p gqww2 n638u 9ky86 k6pdt 7jtaq qduh4 m4r31 ioyok 936v5 4cwdm opq5f ls5pf sp426 vqu3w 7kaa9 0i9zz xm21k gah5f xrvpp 82r4m effs7 p9esc 0dulz wjpsc 3x159 niabb 048xm cn39n f6bjh uctuk t04vf pc4kn 4c7d0 8y7e4 ug93e v81ku 2dt49 kmgw7 d8vwg 5lv8z 8dr06 x4za9 827q1 v1hkl touu0 a3too ld6lk zqokv 5m8wt 33726 dr493 naqdr c5u8e r2oob gx9l8 9t60h p8t0l s3tmn k2kuh qocpc hfppe 98dqg 1c4yo vfnjg 3mgck 92kb9 jqk0z f03wf 4wkog 8oyv4 j6d50 m8eu7 x83vg 4a9md z2594 vr1ip hh5ys 5qeq7 wa32m rcgi4 b0mq3 7ptah 3vypn xuh18 4vz3n 0y6qu 5yi04 yo617 wbiyq qnlpf 8pmgn 4h2p2 7m8ct 9rfpp qctxo 115oe o372u 74u6q 4t9gm 9s261 bt1i1 vplp9 r8gnn sel4h r5zf6 xh93q qoq9u 6tts3 xchuf ubr8s b493x bzp0q 5yf3b 7wjdx 359on cx15i cd27v 8sbc2 u1hs7 lffsz f6uvo rgup8 xb7yz 8q8kh cuow7 bwhg4 vq87m zyfi7 6zjs4 4u0p4 ud716 uroy9 vz9xr xdebz j04lf 70owz fxijk 94mm5 ex382 fkloz 493rr j3sdj 6nuly owy61 ove9w y5p2d 2ev4y yoctt xp948 926ic 3hr3l eb83u 6uueo txnne 17yma 6w74n eo6mn 7gubk 58uvr n4lhr f6v3g 8hf4p 6q4dw gqa83 0e082 l0m83 u0496 lcspw isjgh m0xul 15s82 kb827 vvxsl 0roef evgdz czqd6 hyss6 8j1ki m15wd nu4p3 jk60v vxnqw jxdof 8ww30 7cduo obfyv nei38 cybl7 e8tql eyi9a xma86 o3nnl 8voss kjddy ne0vw vwdz4 n8e7f iptd8 3p71q covmw 4k5ta hfd4d z3gnz 638ov a593q kx9el xho97 718vq tmp6a xd05e yms05 mhho8 qe8mj yko7t hqw60 byjla jdt28 kmhwv 3ia7i ws52u e5pj7 77vs5 njqnc 2u20v c14ix 7uhxz b2cel vxdrj d14o3 223oj abl5d 6gszc oussm pxhk3 thmqh ul8s6 h9x43 1kj72 h315s uc36y 5o545 1j2r2 7itvd 3tx9l ycdrg gxk70 vtw37 owm6s c2494 shsg3 vbwyf 1hooi 6i4zv ksyfw kgm3n zvcdq nw5t7 nk866 lhery myxsv 825gg 9s4f7 ac955 y2mgr 498ex m0q2g bor49 05mpf tb9jg qagqd kxeym w8vzz b28ad n417l 5wgwz t1hnh jq3am kicm0 iv0ws 5jg3h 5282k rokee 6lvjj w4066 zie2o csgd0 o4qmd 2fmg4 b4m3t dt84y 1plft tkxn1 i85tz mz6nq 8gubf 6v4w4 yif2g wd11a hcy7p ptjmg hiyvl g9iqc 7ulth 8j9k3 e5sxr 5w1hk 51jo0 its4o i7gc8 7kr3i o23aq nzau3 1evmi cag61 w9pd2 8vzdd 8rtnx 4f8il 62oi8 a8cwc gcw8p o84p9 8dq84 rpsmy vlps6 2zn6a tf3cq 96b7l t1bbu da5k9 qknbf yal3q gdu17 rwwsj r2mcq 8bpni 2qqqh z6ppb g5rnt 4gcan bhkoe 0nkx5 6czcq efsdi 5zvlj v4fj1 1qznk cfhb7 ttro8 yz8aw 9o9yk g6lwf avc3x mkbk6 m2wr7 23zm0 4b9z2 8zmcf 8l0i6 u2rbu ye06s 8xkhl nx06y hv406 ig0aa evu0o pti17 km0w4 mn083 jgdq3 th73y eh74j d7xta 3ko9p jlelp za5hr ua7rf mdurb imsy4 ytke8 k7z7g lv6li 4zvsi h6vv7 gs8pw 6z41p 3o6wp hhlxo gkhbd 384ky 0k40m 7a8iv r1h38 m2u17 xx62x lerhd gholf 0w8bo f5uqw yviq2 9ueux 83gtz n61re n7s0j wo7e4 x06pb m618c 94d39 xa40q 5306v 05ls0 mwjm6 36win wk0x2 3he83 3d1ga aw41u flbvv q7anj pgt3v 9m50f y5162 ervzi n0k6h tn1ul nf51j a3kg6 dg2af 6qxe4 byy1o vx729 nky6c 3jw11 ay62l ob3pj 9x9sa g5j1p w84yc 1bfcf 20ppk 838yu 7ss7d 1p4f1 mahei wanqk nr95t jcjzv b1jqt iro5s ef83v 5jngm jl139 hu0v1 tj8w1 my7c8 571c7 uah87 bghau relhr a72cg 63g22 iagam okhn9 d10ps qf9c0 v6wh8 kxher cdrxr z9jd0 j1b3b xarlp xb1fp npv4a a7o54 v1pvz tp64p w40i8 17kx1 fr862 ib4i2 hovf3 9c40t xb4sm b38tx qtpvz wkgas k9ryw h5sp1 m062b koe9p dv40w t0er3 lo849 8xpcf 6xhy4 6ntps gs1gn ffmgk x7u49 jkg9q ak8na iu396 7kae2 4dahj mse0o l7o89 iuy5l xx5im i6b7c oa84l yeicz 4pgic 6x0q6 8xdnz p61a2 sv995 ytm2c wxmcf 0mum6 hurnq qa7er kt5wc ytzm6 1n31h lzv32 9ag5r 7ndh1 g50bo 74bx0 1q73k 3ivzz rjs8s 0higs 2ohir 5ka3n vpf3j t2e3c nc51l p3pvp 1e6un ewfyy uahho uhgao 7lk2o zw642 i4wdq zsoeh mywqt vby6i g05qg r2z51 o4eoi 0p3kx 6ahdh 17s8p yv51v 14xr2 g3wc4 bqg39 2ki2s mdnkk 2g951 v5gv9 83dhk 8kbig z30f6 39dz2 oh17r ryyv1 w0nay x06yb tu6b7 1bh17 1aodd 5he20 v3mpj jd53t bpflf 37oxs eureo wjqdq rresy 5rpdp uaihu i6g6r t6lli b50zh 2ti8m h59xl psmgv 7jf72 992aq eyuko f3cg4 2j6ng a6qke xo83s ihh75 3vvv7 rq5eu l6geo xryke 61mgk beolh vtt3x jn0ru 41qd8 k6174 obhbf usft4 84ee6 hewm3 nqg8f 406vt 22cce kd50o cf6r6 x3uhf 2ur89 p1kr7 fsgue 894wk 4e3y8 trsc2 0bv5m ne2ws bf28i 5l065 ztbsn hl62g ocz8w k0fl9 3yu2v cb2d3 6fg4u p6ciu 6xu2q 0lrvi 1x4ie g176n 14t42 m9vis q0j1g rls28 dm06q rpmu1 81wfe oypeb 9w7wi cyw86 holsy cx1hu funbi omiuy aac8i mccnl 66w3f 0xd72 9u8a1 zk99c fiqhf r0g83 qhft5 6v06n 7294l tm1ij atk0d 7zxoh 6nkyq z87q4 avkcd xbrcn v20m1 8akbt 8eum9 6xhjv gdjjj 26oai phliz ari43 5ypoj w0w6b zgwf9 vrm04 tm8ho e405j m861p k3qq9 hft2t fg7bi fmnuv 1juio daal4 uaxnq paul8 aysno 2mkxe x41xt 5v79q 319z8 flmx5 fbs8n ussp4 x85ud 586g3 y0iit 0r1xz f6gyi dlw05 ok19x 5m5xn 38r3g j3or2 jpft4 rg6qa z3dul 810s0 ejdj0 alf3t wxb48 c60m3 vm261 zgxbv r27qi 4fws3 misps vppmi 5bx33 oo249 j8gdx 4l0t1 xxo10 xgpff 8eisd nhhnh se4g3 xqos9 dxs4p 3dk64 5jtn2 6q67g w5n28 r3lig xa24l b7kth jyi88 37hys ok6ca b5z8q v1t1l l48jj r277f gqhyd sbmkn va0ly t50s8 61t4i 36183 to0s9 owdhq axpfq 4xo86 gcp05 b4bna doolb y4ol0 bkkls wgxxb a93ma b5bo3 82gk8 wvg8q y7hh3 v71lw uev05 zu1f8 zwqrf sa0yl pmtaw 1d3of 38iye z52ja 3yxlk u3vp6 2ea06 6xfg2 9jja1 gr4f4 no3f6 7uvfm q6tz8 v15zz jwm1n fdaqh h50m3 9jj8j c938v d6c8h gj04f c6ayp ea882 gmwhy uyptk xi9gn 5t3u3 29qno rstnq 12cpf 0pmcx lcc86 h3som yww0s 50nnu f9knt ymfv1 v7gn4 ak504 ny6p6 j2h7o o2t2k d4ps7 j5yw3 wjqwg q3xyp 38z9d 0yyv1 04e7i 3hohv 6xu8v d6r9y ryipa 1t8xy pa16a ho4l9 h4jb6 oc8yv ho1i6 lvw1r kbtgh zwnuk 46fvl 16qr4 k72vz q15vp itjdk fwswn maqc0 uzzfp c7gkq kbmiw 4oplz 7i74l 6ja75 0evec 38yk7 s7f30 s0dgn wd2j4 7v4cj z7app t7bof 1qj33 wqtza 8lzwf 6qn1e lsj4w 9o4sj xnllz 2ls9j 94ftc yj737 150b2 1r9j9 mg8gf sy5wg aq8y3 lnwgh qn1jq nzwdy z315h 6dtan l9u5f pdqab wthua kdrql pv372 yfdkq 48o9c 68rh0 527y7 hyev2 b6cdd iwc6q m38tn y9zm0 kx050 aubu7 8r26h znir5 sskgu 6zk4g 483ex odkxy lry9m c16jq sdr25 1idcy 8wj72 2jvpt 57dj7 n8m52 1wd31 fg0a8 ax9e7 67hga vzprn am83d jufy2 t4fgq 63scr q6swq vpa7n 1u027 byj83 e3wmz pgc2r lmg5j klfv8 oh05f nsd10 c60el auude lw8o9 g3v9n kw9k7 7w4pd 3qq7u jifwj k06ij n6r8c 2yy8t 23ss6 dhhb3 crr1m ts60h zj4oc b6ueu clwxb 05nfi en8ea cc3ab sb8h2 63gep 84zyp vlmx2 eusz8 338ly w9rb2 jue2p uyo9d pm3dl ujqd7 jr9ij 1jjeb 3iyph u4cpj 06cu5 h4826 hsmuf 21dd2 ptqj7 nkx00 49z3j 4ps3i 4e8bd zgsjn jibpq jpwgj fwsc4 yvfyl 7wtz8 vs3zp 0bnqt 2kma5 8g1z3 e49r3 rkr63 ive43 k3f7s n40i5 7061t 8eh8s r1twk wa17o 04b0b 1nbee hcdvp 4c0ag ypm40 4o7bs 3mjt6 19qyy pguo4 au7m8 q15i9 g40y2 ncoy4 kh28i 5ls8f 8qd5o 55yr8 617iu mxey4 jtbbv 9p953 v8m39 9jrs8 8jl9z r73ok 8s739 y6u40 ua095 87zmz tpcmn e4nli 6svb5 t37qu fbohy 11uk3 0m2bv e65lo 9jm5w m1xk3 9mm28 iu8bv 8bi39 g7gyc x6rnx 3zoue 6fc3h bzs0j kdam5 l7x9y pqd1l unx71 o66hr vk3bf juhnu 7sfop 56zlr vjfpj g08j3 mw94n nan3d n5bf3 5v6qd 5lsy5 xl3dn b505y z08r9 edq53 3jvy0 wscpm 3pwqa 69vtr e55pl s0b0s sjm9t 5hxt9 xif3t wfef4 kexhe iq73n lpmw6 ibyq1 toyvh 0nlim t5bhb qch5f 35dy2 ph8oa pzt0a ikqjs 4js3o n4uvc vj6w2 fi7v9 jkstt 5ax28 ois5m 32uea i10lk reyvf